Kosmela Paulina, Kazimierski Paweł
Department of Polymer Technology, Chemical Faculty, Gdansk University of Technology, G. Narutowicza Str. 11/12, 80-233 Gdansk, Poland.
Institute of Fluid Flow Machinery, Polish Academy of Sciences, Fiszera Str. 14, 80-231 Gdansk, Poland.
Materials (Basel). 2023 Sep 9;16(18):6135. doi: 10.3390/ma16186135.
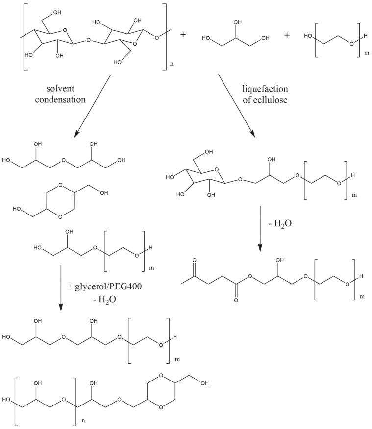
Biomass liquefaction is a well-known and extensively described process. Hydrothermal processes are well understood and can be used in the fuel industry. The use of organic solvents can result in full-fledged products for use in the synthesis of polyurethanes. The plastics industry, including polyurethanes, is targeting new, more environmentally friendly solutions. One of these is the replacement of petrochemical polyols with compounds obtained from renewable sources. It is common in biomass liquefaction to use sulfuric acid (VI) as a catalyst. The purpose of the present study was to test the effectiveness of a heterogeneous catalyst such as Nafion ion-exchange resin on the cellulose liquefaction process. The results obtained were compared with the bio-polyols obtained in a conventional way, using a homogeneous catalyst (sulfuric acid (VI)). Depending on the catalyst used and the temperature of the process, bio-polyols characterized, among other things, by a hydroxyl number in the range of 740-400 mgKOH/g were obtained. The research provides new information on the possibility of using heterogeneous catalysts in cellulose liquefaction.
生物质液化是一个广为人知且有大量描述的过程。水热过程已被充分理解,可用于燃料行业。使用有机溶剂能够得到用于合成聚氨酯的成熟产品。包括聚氨酯在内的塑料行业正在寻求新的、更环保的解决方案。其中之一是用可再生资源制得的化合物替代石化多元醇。在生物质液化中常用硫酸(VI)作为催化剂。本研究的目的是测试非均相催化剂(如纳滤离子交换树脂)对纤维素液化过程的有效性。将所得结果与使用均相催化剂(硫酸(VI))以传统方式制得的生物多元醇进行比较。根据所使用的催化剂和过程温度,得到了羟值在740 - 400 mgKOH/g范围内等特性的生物多元醇。该研究为在纤维素液化中使用非均相催化剂的可能性提供了新信息。