Suppr超能文献

非天然氨基酸(ncAAs)的生物合成进展及将 ncAAs 掺入蛋白质的方法。

Advances in Biosynthesis of Non-Canonical Amino Acids (ncAAs) and the Methods of ncAAs Incorporation into Proteins.

机构信息

College of Bioengineering, Beijing Polytechnic, Beijing 100176, China.

出版信息

Molecules. 2023 Sep 21;28(18):6745. doi: 10.3390/molecules28186745.

Abstract

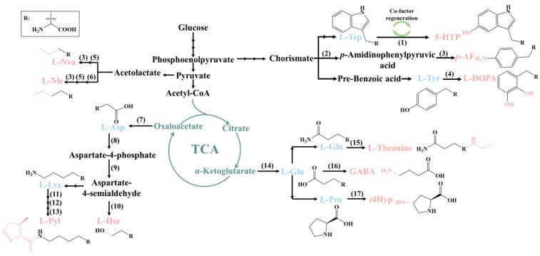
The functional pool of canonical amino acids (cAAs) has been enriched through the emergence of non-canonical amino acids (ncAAs). NcAAs play a crucial role in the production of various pharmaceuticals. The biosynthesis of ncAAs has emerged as an alternative to traditional chemical synthesis due to its environmental friendliness and high efficiency. The breakthrough genetic code expansion (GCE) technique developed in recent years has allowed the incorporation of ncAAs into target proteins, giving them special functions and biological activities. The biosynthesis of ncAAs and their incorporation into target proteins within a single microbe has become an enticing application of such molecules. Based on that, in this study, we first review the biosynthesis methods for ncAAs and analyze the difficulties related to biosynthesis. We then summarize the GCE methods and analyze their advantages and disadvantages. Further, we review the application progress of ncAAs and anticipate the challenges and future development directions of ncAAs.

摘要

天然存在的氨基酸(cAAs)功能库已通过非天然氨基酸(ncAAs)的出现得到了丰富。ncAAs 在各种药物的生产中起着至关重要的作用。由于其环境友好性和高效率,ncAAs 的生物合成已经成为传统化学合成的替代方法。近年来开发的突破性遗传密码扩展(GCE)技术允许将 ncAAs 掺入目标蛋白中,赋予它们特殊的功能和生物学活性。ncAAs 的生物合成及其在单个微生物内掺入目标蛋白已成为此类分子的诱人应用。基于此,在本研究中,我们首先综述了 ncAAs 的生物合成方法,并分析了与生物合成相关的困难。然后我们总结了 GCE 方法,并分析了它们的优缺点。此外,我们综述了 ncAAs 的应用进展,并对 ncAAs 的挑战和未来发展方向进行了预测。

https://cdn.ncbi.nlm.nih.gov/pmc/blobs/4431/10534643/fc07a1eeb88a/molecules-28-06745-g002.jpg

文献检索

告别复杂PubMed语法,用中文像聊天一样搜索,搜遍4000万医学文献。AI智能推荐,让科研检索更轻松。

立即免费搜索

文件翻译

保留排版,准确专业,支持PDF/Word/PPT等文件格式,支持 12+语言互译。

免费翻译文档

深度研究

AI帮你快速写综述,25分钟生成高质量综述,智能提取关键信息,辅助科研写作。

立即免费体验