• 文献检索
  • 文档翻译
  • 深度研究
  • 学术资讯
  • Suppr Zotero 插件Zotero 插件
  • 邀请有礼
  • 套餐&价格
  • 历史记录
应用&插件
Suppr Zotero 插件Zotero 插件浏览器插件Mac 客户端Windows 客户端微信小程序
定价
高级版会员购买积分包购买API积分包
服务
文献检索文档翻译深度研究API 文档MCP 服务
关于我们
关于 Suppr公司介绍联系我们用户协议隐私条款
关注我们

Suppr 超能文献

核心技术专利:CN118964589B侵权必究
粤ICP备2023148730 号-1Suppr @ 2026

文献检索

告别复杂PubMed语法,用中文像聊天一样搜索,搜遍4000万医学文献。AI智能推荐,让科研检索更轻松。

立即免费搜索

文件翻译

保留排版,准确专业,支持PDF/Word/PPT等文件格式,支持 12+语言互译。

免费翻译文档

深度研究

AI帮你快速写综述,25分钟生成高质量综述,智能提取关键信息,辅助科研写作。

立即免费体验

通过母乳预测婴儿体内多柔比星和紫杉醇暴露的基于生理学的药代动力学模型。

Physiologically-based pharmacokinetic model to predict doxorubicin and paclitaxel exposure in infants through breast milk.

机构信息

Department of Pharmacy and Pharmacology, The Netherlands Cancer Institute, Amsterdam, The Netherlands.

Department of Gynecology, The Netherlands Cancer Institute, Amsterdam, The Netherlands.

出版信息

CPT Pharmacometrics Syst Pharmacol. 2023 Dec;12(12):1931-1944. doi: 10.1002/psp4.13043. Epub 2023 Oct 5.

DOI:10.1002/psp4.13043
PMID:37798909
原文链接:https://pmc.ncbi.nlm.nih.gov/articles/PMC10725259/
Abstract

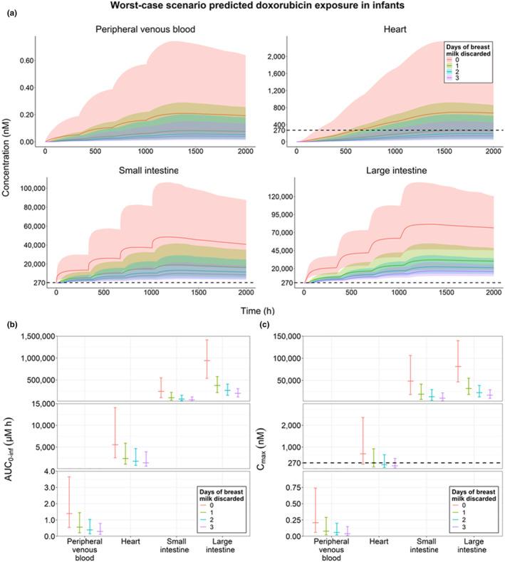
Limited information is available concerning infant exposure and safety when breastfed by mothers receiving chemotherapy. Whereas defining distribution to breast milk is important to infer drug exposure, infant pharmacokinetics also determine to what extent the infant will be exposed to potential toxic effects. We aimed to assess the impact of chemotherapy containing breast milk on infants by predicting systemic and local (intestinal) exposure of paclitaxel and doxorubicin in infants through breast milk using a physiologically-based pharmacokinetic (PBPK) approach. Whole-body PBPK models of i.v. paclitaxel and doxorubicin were extended from the literature, with an oral absorption component to enable predictions in infants receiving paclitaxel or doxorubicin-containing breast milk. For safety considerations, worst-case scenarios were explored. Finally, paclitaxel and doxorubicin exposures in plasma and intestinal tissue of infants following feeding of breast milk from paclitaxel- or doxorubicin-treated mothers were simulated and breast milk discarding strategies were evaluated. The upper 95th percentile of the predicted peak concentrations in peripheral venous blood were 3.48 and 0.74 nM (0.4%-1.7% and 0.1%-1.8% of on-treatment) for paclitaxel and doxorubicin, respectively. Intestinal exposure reached peak concentrations of 1.0 and 140 μM for paclitaxel and doxorubicin, respectively. Discarding breast milk for the first 3 days after maternal chemotherapy administration reduced systemic and tissue exposures even further, to over 90% and 80% for paclitaxel and doxorubicin, respectively. PBPK simulations of chemotherapy exposure in infants after breastfeeding with chemotherapy containing breast milk suggest that particularly local gastrointestinal adverse events should be monitored, whereas systemic adverse events are not expected.

摘要

关于接受化疗的母亲母乳喂养时婴儿的暴露和安全性,相关信息有限。虽然定义药物在母乳中的分布对于推断药物暴露很重要,但婴儿的药代动力学也决定了婴儿将在多大程度上暴露于潜在的毒性作用之下。我们旨在通过生理基于药代动力学(PBPK)方法,评估化疗药物进入母乳对婴儿的影响,预测婴儿通过母乳摄入紫杉醇和阿霉素后的全身和局部(肠道)暴露。从文献中扩展了静脉内紫杉醇和阿霉素的全身 PBPK 模型,并增加了口服吸收部分,以能够预测接受紫杉醇或含阿霉素母乳的婴儿。出于安全考虑,探讨了最坏情况。最后,模拟了来自紫杉醇或阿霉素治疗母亲的母乳喂养后婴儿血浆和肠道组织中紫杉醇和阿霉素的暴露情况,并评估了丢弃母乳的策略。预测外周静脉血中峰浓度的第 95 个百分位数分别为紫杉醇和阿霉素的 3.48 和 0.74 nM(治疗期间的 0.4%-1.7%和 0.1%-1.8%)。紫杉醇和阿霉素的肠道暴露分别达到 1.0 和 140 μM 的峰值浓度。在母亲化疗给药后最初 3 天丢弃母乳可进一步降低全身和组织暴露,紫杉醇和阿霉素分别超过 90%和 80%。通过 PBPK 模拟在接受含化疗药物的母乳后婴儿的化疗药物暴露情况表明,应特别监测局部胃肠道不良事件,而全身不良事件则不应预期。

https://cdn.ncbi.nlm.nih.gov/pmc/blobs/fd57/10725259/ee398e689204/PSP4-12-1931-g006.jpg
https://cdn.ncbi.nlm.nih.gov/pmc/blobs/fd57/10725259/bb72f7a40221/PSP4-12-1931-g004.jpg
https://cdn.ncbi.nlm.nih.gov/pmc/blobs/fd57/10725259/2e1c55470ab1/PSP4-12-1931-g001.jpg
https://cdn.ncbi.nlm.nih.gov/pmc/blobs/fd57/10725259/84f16914ac58/PSP4-12-1931-g002.jpg
https://cdn.ncbi.nlm.nih.gov/pmc/blobs/fd57/10725259/fcdbc2558ec0/PSP4-12-1931-g005.jpg
https://cdn.ncbi.nlm.nih.gov/pmc/blobs/fd57/10725259/39f9e7197337/PSP4-12-1931-g003.jpg
https://cdn.ncbi.nlm.nih.gov/pmc/blobs/fd57/10725259/ee398e689204/PSP4-12-1931-g006.jpg
https://cdn.ncbi.nlm.nih.gov/pmc/blobs/fd57/10725259/bb72f7a40221/PSP4-12-1931-g004.jpg
https://cdn.ncbi.nlm.nih.gov/pmc/blobs/fd57/10725259/2e1c55470ab1/PSP4-12-1931-g001.jpg
https://cdn.ncbi.nlm.nih.gov/pmc/blobs/fd57/10725259/84f16914ac58/PSP4-12-1931-g002.jpg
https://cdn.ncbi.nlm.nih.gov/pmc/blobs/fd57/10725259/fcdbc2558ec0/PSP4-12-1931-g005.jpg
https://cdn.ncbi.nlm.nih.gov/pmc/blobs/fd57/10725259/39f9e7197337/PSP4-12-1931-g003.jpg
https://cdn.ncbi.nlm.nih.gov/pmc/blobs/fd57/10725259/ee398e689204/PSP4-12-1931-g006.jpg

相似文献

1
Physiologically-based pharmacokinetic model to predict doxorubicin and paclitaxel exposure in infants through breast milk.通过母乳预测婴儿体内多柔比星和紫杉醇暴露的基于生理学的药代动力学模型。
CPT Pharmacometrics Syst Pharmacol. 2023 Dec;12(12):1931-1944. doi: 10.1002/psp4.13043. Epub 2023 Oct 5.
2
Predicting Chemotherapy Distribution into Breast Milk for Breastfeeding Women Using a Population Pharmacokinetic Approach.使用群体药代动力学方法预测化疗药物在哺乳期妇女乳汁中的分布情况。
Clin Pharmacokinet. 2023 Jul;62(7):969-980. doi: 10.1007/s40262-023-01251-5. Epub 2023 May 8.
3
Informing a Comprehensive Risk Assessment of Infant Drug Exposure From Human Milk: Application of a Physiologically Based Pharmacokinetic Lactation Model for Sotalol.从人乳中告知婴儿药物暴露的综合风险评估:索他洛尔生理基于药代动力学的泌乳模型的应用。
J Clin Pharmacol. 2023 Jun;63 Suppl 1:S106-S116. doi: 10.1002/jcph.2242.
4
Maternal Ezetimibe Concentrations Measured in Breast Milk and Its Use in Breastfeeding Infant Exposure Predictions.母乳中依泽替米贝浓度的测定及其在预测母乳喂养婴儿暴露量中的应用。
Clin Pharmacokinet. 2024 Mar;63(3):317-332. doi: 10.1007/s40262-023-01345-0. Epub 2024 Jan 26.
5
Exposure of Infants to Isoniazid via Breast Milk After Maternal Drug Intake of Recommended Doses Is Clinically Insignificant Irrespective of Metaboliser Status. A Physiologically-Based Pharmacokinetic (PBPK) Modelling Approach to Estimate Drug Exposure of Infants via Breast-Feeding.母亲摄入推荐剂量的异烟肼后,婴儿通过母乳接触异烟肼的情况在临床上无显著意义,与代谢状态无关。一种基于生理的药代动力学(PBPK)建模方法,用于估计婴儿通过母乳喂养接触药物的情况。
Front Pharmacol. 2019 Jan 22;10:5. doi: 10.3389/fphar.2019.00005. eCollection 2019.
6
Predicting Escitalopram Exposure to Breastfeeding Infants: Integrating Analytical and In Silico Techniques.预测艾司西酞普兰暴露于母乳喂养婴儿:整合分析和计算技术。
Clin Pharmacokinet. 2018 Dec;57(12):1603-1611. doi: 10.1007/s40262-018-0657-2.
7
Incorporating Breastfeeding-Related Variability with Physiologically Based Pharmacokinetic Modeling to Predict Infant Exposure to Maternal Medication Through Breast Milk: a Workflow Applied to Lamotrigine.将与母乳喂养相关的变异性与基于生理学的药代动力学模型相结合,以预测通过母乳中母亲用药对婴儿的暴露:应用于拉莫三嗪的工作流程。
AAPS J. 2021 May 17;23(4):70. doi: 10.1208/s12248-021-00599-5.
8
Maternal fluoxetine treatment in the postpartum period: effects on platelet serotonin and plasma drug levels in breastfeeding mother-infant pairs.产后母亲使用氟西汀治疗:对母乳喂养母婴对中血小板血清素和血浆药物水平的影响。
Pediatrics. 2003 Nov;112(5):e425. doi: 10.1542/peds.112.5.e425.
9
Exposure Concentrations of Infants Breastfed by Women Receiving Biologic Therapies for Inflammatory Bowel Diseases and Effects of Breastfeeding on Infections and Development.接受生物疗法治疗炎症性肠病的女性所分泌的母乳中婴儿的暴露浓度,以及母乳喂养对感染和发育的影响。
Gastroenterology. 2018 Sep;155(3):696-704. doi: 10.1053/j.gastro.2018.05.040. Epub 2018 May 30.
10
Quantifying breast milk intake by term and preterm infants for input into paediatric physiologically based pharmacokinetic models.定量测量足月和早产儿的母乳摄入量,以输入儿科生理基于药代动力学模型。
Matern Child Nutr. 2020 Apr;16(2):e12938. doi: 10.1111/mcn.12938. Epub 2020 Jan 21.

引用本文的文献

1
Safety of Drugs in Breastfeeding Women With CKD.慢性肾脏病哺乳期女性用药的安全性
Kidney Int Rep. 2025 Apr 27;10(7):2189-2201. doi: 10.1016/j.ekir.2025.04.038. eCollection 2025 Jul.
2
Addressing health equity for breastfeeding women: primaquine for Plasmodium vivax radical cure.解决母乳喂养妇女的健康公平问题:根治性治疗间日疟原虫的伯氨喹。
Malar J. 2024 Sep 27;23(1):287. doi: 10.1186/s12936-024-05112-9.

本文引用的文献

1
Predicting Chemotherapy Distribution into Breast Milk for Breastfeeding Women Using a Population Pharmacokinetic Approach.使用群体药代动力学方法预测化疗药物在哺乳期妇女乳汁中的分布情况。
Clin Pharmacokinet. 2023 Jul;62(7):969-980. doi: 10.1007/s40262-023-01251-5. Epub 2023 May 8.
2
Presence of Five Chemotherapeutic Drugs in Breast Milk as a Guide for the Safe Use of Chemotherapy During Breastfeeding: Results From a Case Series.母乳中五种化疗药物的存在可指导哺乳期安全使用化疗:一项病例系列研究结果。
Clin Pharmacol Ther. 2022 Aug;112(2):404-410. doi: 10.1002/cpt.2626. Epub 2022 May 18.
3
In Vitro Cell Toxicity and Intracellular Uptake of Doxorubicin Exposed as a Solution or Liposomes: Implications for Treatment of Hepatocellular Carcinoma.
溶液或脂质体形式的阿霉素的体外细胞毒性和细胞内摄取:对肝细胞癌治疗的影响。
Cells. 2021 Jul 6;10(7):1717. doi: 10.3390/cells10071717.
4
New insights into the activities and toxicities of the old anticancer drug doxorubicin.对老抗癌药物阿霉素的活性和毒性的新认识。
FEBS J. 2021 Nov;288(21):6095-6111. doi: 10.1111/febs.15583. Epub 2020 Oct 19.
5
A Phase 1 Dose-Escalation Study of Low-Dose Metronomic Treatment With Novel Oral Paclitaxel Formulations in Combination With Ritonavir in Patients With Advanced Solid Tumors.一种新型口服紫杉醇制剂联合ritonavir 低剂量节拍治疗联合治疗晚期实体瘤患者的 I 期剂量递增研究。
Clin Pharmacol Drug Dev. 2021 Jun;10(6):607-621. doi: 10.1002/cpdd.880. Epub 2020 Oct 5.
6
No relation between docetaxel administration route and high-grade diarrhea incidence.多西紫杉醇给药途径与高级别腹泻发生率之间无相关性。
Pharmacol Res Perspect. 2020 Aug;8(4):e00633. doi: 10.1002/prp2.633.
7
Breastfeeding during R-CHOP chemotherapy: please abstain!在接受R-CHOP化疗期间进行母乳喂养:请避免!
Eur J Cancer. 2019 Sep;119:107-111. doi: 10.1016/j.ejca.2019.07.012. Epub 2019 Aug 19.
8
Contemporary management of breast cancer during pregnancy and subsequent lactation in a multicenter cohort of young women with breast cancer.多中心年轻乳腺癌患者妊娠哺乳期乳腺癌的当代管理。
Breast J. 2019 Nov;25(6):1104-1110. doi: 10.1111/tbj.13431. Epub 2019 Jul 18.
9
Pediatric Dose Selection and Utility of PBPK in Determining Dose.儿科剂量选择和 PBPK 在确定剂量中的应用。
AAPS J. 2018 Feb 13;20(2):31. doi: 10.1208/s12248-018-0187-8.
10
Oncological management and obstetric and neonatal outcomes for women diagnosed with cancer during pregnancy: a 20-year international cohort study of 1170 patients.妊娠期诊断为癌症的女性的肿瘤学管理和产科及新生儿结局:一项 20 年国际队列研究,纳入了 1170 例患者。
Lancet Oncol. 2018 Mar;19(3):337-346. doi: 10.1016/S1470-2045(18)30059-7. Epub 2018 Jan 26.