Suppr超能文献

一种用于估算慢性血液透析患者血清离子钙水平的新预测方程。

A New Predictive Equation for Estimating Serum Ionized Calcium Levels in Patients on Chronic Hemodialysis.

机构信息

Division of General Medicine, Department of Education, Shin-Kong Wu Ho-Su Memorial Hospital, Taipei, Taiwan.

Division of Nephrology, Department of Internal Medicine, Mackay Memorial Hospital, New Taipei City, Taiwan.

出版信息

Med Sci Monit. 2023 Oct 9;29:e941321. doi: 10.12659/MSM.941321.

Abstract

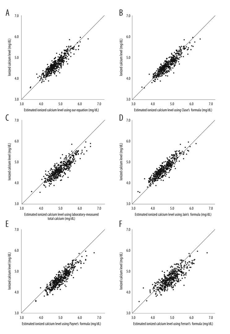
BACKGROUND Circulating calcium mainly carries out its physiologic function in its ionized form (iCa). Clinically, iCa is usually estimated by multiplying the total calcium (TCa) level by 0.5 in the general population, but this method is not accurate when applied to patients on long-term hemodialysis (CHD). Accordingly, this study aimed to develop a predictive function for iCa in patients on CHD by incorporating TCa and other additional variables. MATERIAL AND METHODS This was a retrospective cross-sectional study consisting of 2 cross-sectional datasets: a derivation set including 469 CHD patients in June 2019, and a validation set including 446 CHD patients in September 2019. The derivation set's data were analyzed using the stepwise model selection of machine learning with 10-fold cross-validation to develop a predictive function for iCa. This predictive function was then applied to the validation set's data, and the predictive function's estimated iCa was compared with the actual laboratory iCa by using the paired-samples t test and intraclass correlation coefficient. RESULTS After analyzing the routine laboratory data parameters of patients in the derivation set, the following 5 variables were included in the predictive function of iCa: blood urea nitrogen, creatinine, phosphate, TCa, and albumin. This predictive function was applied to the validation set to yield an estimated iCa level that was not significantly different from the laboratory-measured iCa level of the validation dataset (P=0.676) with an excellent ICC of 0.905. CONCLUSIONS We developed a new predictive function that accurately measures the iCa in patients on CHD by using routine laboratory data.

摘要

背景

循环钙主要以离子形式(iCa)发挥其生理功能。临床上,一般人群通常通过将总钙(TCa)水平乘以 0.5 来估计 iCa,但在长期接受血液透析(CHD)的患者中,这种方法并不准确。因此,本研究旨在通过纳入 TCa 和其他附加变量,为 CHD 患者开发 iCa 的预测函数。

材料和方法

这是一项回顾性的横断面研究,包括两个横断面数据集:一个包括 2019 年 6 月的 469 例 CHD 患者的推导集,以及一个包括 2019 年 9 月的 446 例 CHD 患者的验证集。推导集的数据使用机器学习的逐步模型选择和 10 倍交叉验证进行分析,以开发 iCa 的预测函数。然后将该预测函数应用于验证集的数据,并通过配对样本 t 检验和组内相关系数比较预测函数估计的 iCa 与实际实验室 iCa。

结果

在分析推导集中患者的常规实验室数据参数后,该预测函数纳入了以下 5 个变量:血尿素氮、肌酐、磷酸盐、TCa 和白蛋白。该预测函数应用于验证集,得到的估计 iCa 水平与验证数据集的实验室测量 iCa 水平无显著差异(P=0.676),组内相关系数 ICC 为 0.905。

结论

我们开发了一种新的预测函数,该函数可以通过常规实验室数据准确测量 CHD 患者的 iCa。

https://cdn.ncbi.nlm.nih.gov/pmc/blobs/011c/10572016/1802797bf858/medscimonit-29-e941321-g001.jpg

文献AI研究员

20分钟写一篇综述,助力文献阅读效率提升50倍。

立即体验

用中文搜PubMed

大模型驱动的PubMed中文搜索引擎

马上搜索

文档翻译

学术文献翻译模型,支持多种主流文档格式。

立即体验