Suppr超能文献

从受胁迫苹果皮中提取的多酚类化合物的表征及其与β-乳球蛋白的相互作用。

Characterization of polyphenols compounds extracted from stressed apple peel and their interaction with β-lactoglobulin.

作者信息

Llopart Emilce E, Verdini Roxana A, Delorenzi Néstor J, Busti Pablo A

机构信息

Área Alimentos y Sociedad, Departamento de Ciencias de los Alimentos y del Medio Ambiente, Facultad de Ciencias Bioquímicas y Farmacéuticas, Universidad Nacional de Rosario, Suipacha 531, 2000 Rosario, Argentina.

Instituto de Química Rosario (IQUIR, UNR-CONICET), Facultad de Ciencias Bioquímicas y Farmacéuticas, Universidad Nacional de Rosario, Suipacha 531, 2000 Rosario, Argentina.

出版信息

Heliyon. 2023 Sep 12;9(9):e20010. doi: 10.1016/j.heliyon.2023.e20010. eCollection 2023 Sep.

Abstract

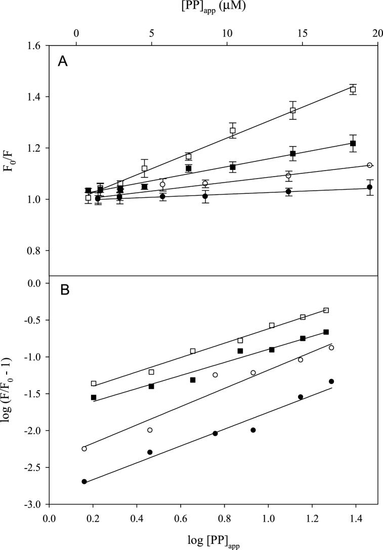
This paper proposes to apply a postharvest environmental stress to red apples, , variety Red Delicious in order to increase the polyphenols compounds (PP) content in their peels. The possibility of enhancing extractable PP provides a useful alternative for the use of discarded crops in the food industry. A great increase in PP was observed in response to light damage produced by the environmental stress applied in this work. Flavonols > anthocyanins > flavanols > dihydrochalcones > phenolic acids is the order in PP content. The interaction of the extracted PP from unstressed and stressed apple peels with beta-lactoglobulin (β-LG) was characterized. A PP/β-LG complex which was formed with one single binding site in the protein was determined. The interaction was spontaneous and enthalpy driven. PP extracted from unstressed samples had greater affinity for the protein than PP extracted from stressed samples, possibly due to the polar characteristic of anthocyanins. The results of this last study could provide a better understanding of the interaction between PP and β-LG to incorporate them into functional foods.

摘要

本文建议对红苹果(品种为蛇果)施加采后环境胁迫,以增加其果皮中多酚类化合物(PP)的含量。提高可提取PP的可能性为食品工业中废弃作物的利用提供了一种有用的替代方法。在这项工作中施加的环境胁迫所产生的光损伤作用下,观察到PP大幅增加。PP含量的顺序为黄酮醇>花青素>黄烷醇>二氢查耳酮>酚酸。对未受胁迫和受胁迫苹果皮中提取的PP与β-乳球蛋白(β-LG)的相互作用进行了表征。确定了在蛋白质中形成的具有单个结合位点的PP/β-LG复合物。这种相互作用是自发的且由焓驱动。从未受胁迫样品中提取的PP对蛋白质的亲和力高于从受胁迫样品中提取的PP,这可能是由于花青素的极性特征所致。最后这项研究的结果可以更好地理解PP与β-LG之间的相互作用,以便将它们纳入功能性食品中。

https://cdn.ncbi.nlm.nih.gov/pmc/blobs/f75e/10559732/96352dcb5b10/gr1.jpg

文献AI研究员

20分钟写一篇综述,助力文献阅读效率提升50倍。

立即体验

用中文搜PubMed

大模型驱动的PubMed中文搜索引擎

马上搜索

文档翻译

学术文献翻译模型,支持多种主流文档格式。

立即体验