Pániková Kristína, Bílková Zuzana, Malá Jitka
Institute of Chemistry, Faculty of Civil Engineering, Brno University of Technology, 602 00 Brno, Czech Republic.
Research Centre for Toxic Compounds in the Environment, Faculty of Science, Masaryk University, 611 37 Brno, Czech Republic.
J Xenobiot. 2023 Oct 1;13(4):560-571. doi: 10.3390/jox13040036.
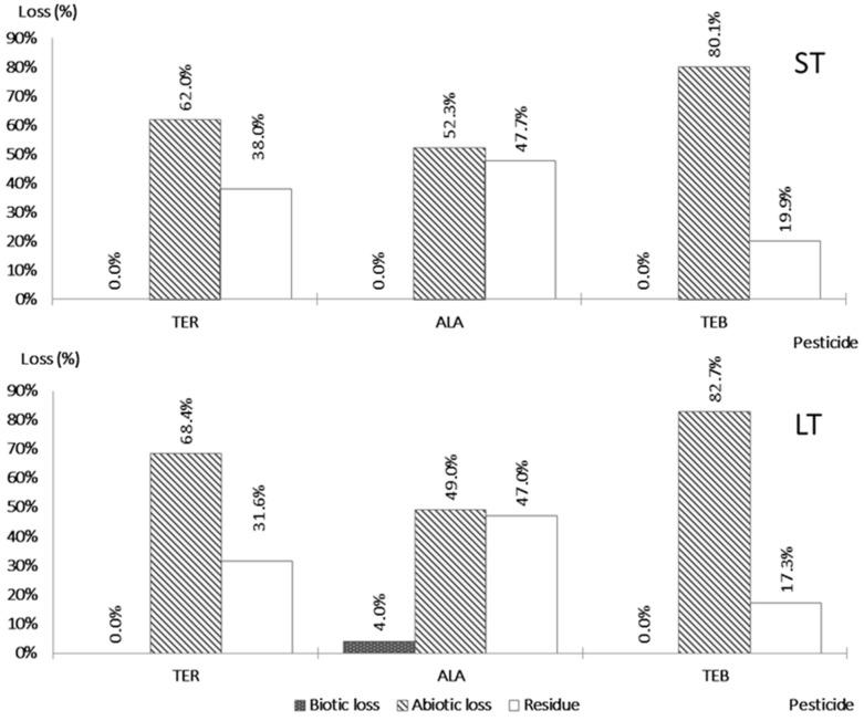
Pesticide compounds can influence denitrification processes in groundwater in many ways. This study observed behavior of three selected pesticides under denitrifying conditions. Alachlor, terbuthylazine, and tebuconazole, in a concentration of 0.1 mL L, were examined using two laboratory denitrifications assays: a "short" 7-day and a "long" 28-day test. During these tests, removal of pesticides via adsorption and biotic decomposition, as well as the efficiency of nitrate removal in the presence of the pesticides, were measured. No considerable inhibition of the denitrification process was observed for any of the pesticides. On the contrary, significant stimulation was observed after 21 days for alachlor (49%) and after seven days for terbuthylazine (40%) and tebuconazole (36%). Adsorption was in progress only during the first seven days in the case of all tested pesticides and increased only negligibly afterwards. Immediate adsorption of terbuthylazine was probably influenced by the mercuric chloride inhibitor. A biotic loss of 4% was measured only in the case of alachlor.
农药化合物可通过多种方式影响地下水中的反硝化过程。本研究观察了三种选定农药在反硝化条件下的行为。使用两种实验室反硝化试验,对浓度为0.1 mL/L的甲草胺、特丁津和戊唑醇进行了检测:一个为期7天的“短期”试验和一个为期28天的“长期”试验。在这些试验中,测定了通过吸附和生物分解去除农药的情况,以及在有农药存在时硝酸盐的去除效率。未观察到任何一种农药对反硝化过程有明显抑制作用。相反,21天后甲草胺出现显著刺激(49%),7天后特丁津(40%)和戊唑醇(36%)出现显著刺激。对于所有测试农药,吸附仅在最初7天进行,之后仅略有增加。特丁津的立即吸附可能受氯化汞抑制剂影响。仅甲草胺出现了4%的生物损失。