Suppr超能文献

分枝杆菌孢子表面蛋白 FP1 黏膜疫苗候选物在豚鼠中具有高度保护作用,但未能改善卡介苗在非人类灵长类动物中的保护作用。

Spore-FP1 tuberculosis mucosal vaccine candidate is highly protective in guinea pigs but fails to improve on BCG-conferred protection in non-human primates.

机构信息

United Kingdom Health Security Agency (UKHSA), Porton Down, Salisbury, United Kingdom.

Institute for Infection and Immunity, St George's University of London, London, United Kingdom.

出版信息

Front Immunol. 2023 Oct 10;14:1246826. doi: 10.3389/fimmu.2023.1246826. eCollection 2023.

Abstract

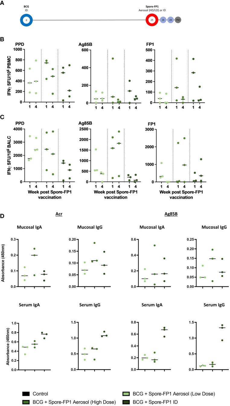
Tuberculosis remains a major health threat globally and a more effective vaccine than the current Bacillus Calmette Guerin (BCG) is required, either to replace or boost it. The Spore-FP1 mucosal vaccine candidate is based on the fusion protein of Ag85B-Acr-HBHA/heparin-binding domain, adsorbed on the surface of inactivated spores. The candidate conferred significant protection against challenge in naïve guinea pigs and markedly improved protection in the lungs and spleens of animals primed with BCG. We then immunized rhesus macaques with BCG intradermally, and subsequently boosted with one intradermal and one aerosol dose of Spore-FP1, prior to challenge with low dose aerosolized Erdman strain. Following vaccination, animals did not show any adverse reactions and displayed higher antigen specific cellular and antibody immune responses compared to BCG alone but this did not translate into significant improvement in disease pathology or bacterial burden in the organs.

摘要

结核病仍然是全球主要的健康威胁,需要一种比目前的卡介苗(BCG)更有效的疫苗,无论是替代还是增强它。孢子-FP1 黏膜疫苗候选物基于 Ag85B-Acr-HBHA/肝素结合结构域的融合蛋白,吸附在失活孢子的表面。该候选物在初次感染豚鼠的挑战中提供了显著的保护,并在卡介苗预刺激的动物的肺部和脾脏中显著改善了保护。然后,我们用卡介苗皮内免疫恒河猴,随后用皮内和喷雾剂量的 Spore-FP1 加强免疫,然后用低剂量雾化的 Erdman 株进行攻击。接种疫苗后,动物没有出现任何不良反应,并显示出比单独使用卡介苗更高的抗原特异性细胞和抗体免疫反应,但这并没有转化为器官疾病病理学或细菌负荷的显著改善。

https://cdn.ncbi.nlm.nih.gov/pmc/blobs/339a/10594996/bb3e7839dcdd/fimmu-14-1246826-g001.jpg

文献AI研究员

20分钟写一篇综述,助力文献阅读效率提升50倍。

立即体验

用中文搜PubMed

大模型驱动的PubMed中文搜索引擎

马上搜索

文档翻译

学术文献翻译模型,支持多种主流文档格式。

立即体验