Suppr超能文献

加拿大马尼托巴省基于癌症登记的居住地区 COVID-19 大流行期间癌症发病率:一项中断时间序列研究。

Cancer incidence during the COVID-19 pandemic by region of residence in Manitoba, Canada: A cancer registry-based interrupted time series study.

机构信息

Paul Albrechtsen Research Institute CancerCare Manitoba, Winnipeg, Manitoba, Canada.

Department of Community Health Sciences, Max Rady College of Medicine, Rady Faculty of Health Sciences, University of Manitoba, Winnipeg, Manitoba, Canada.

出版信息

Cancer Med. 2023 Dec;12(23):21465-21479. doi: 10.1002/cam4.6698. Epub 2023 Nov 16.

Abstract

INTRODUCTION

Health care in Manitoba, Canada is divided into five regions, each with unique geographies, demographics, health care access, and health status. COVID-19-related restrictions and subsequent responses also differed by region. To understand the impact of the pandemic on cancer incidence in the context of these differences, we examined age-standardized cancer incidence rates by region over time before and after the COVID-19 pandemic.

METHODS

We used a population-based quasi-experimental study design, population-based data, and an interrupted time series analysis to examine the rate of new cancer diagnoses before (January 2015 until December 2019) and after the start of COVID-19 and the interventions implemented to mitigate its impact (April 2020 until December 2021) by region.

RESULTS

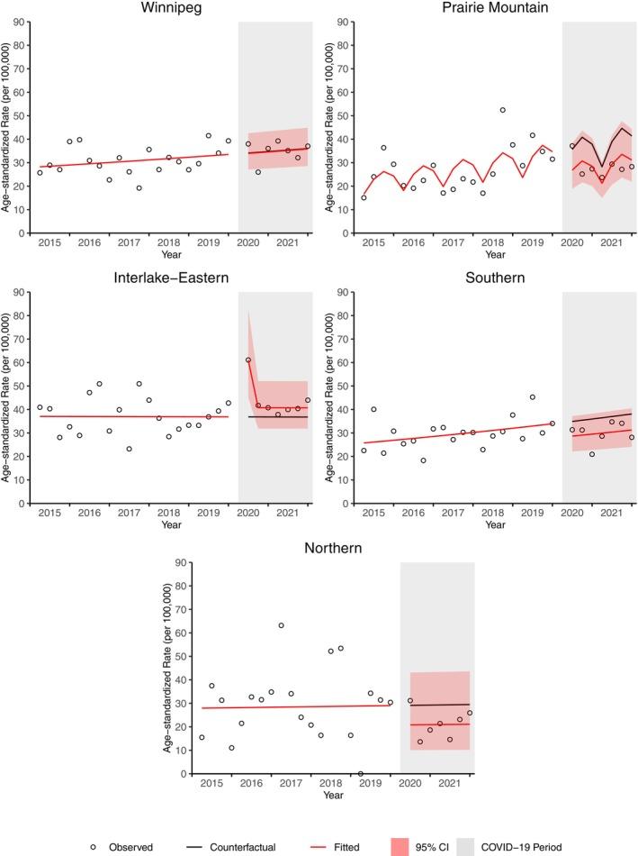
Overall cancer incidence differed by region and remained lower than expected in Winnipeg (4.6% deficit, 447 cases), Prairie Mountain (6.9% deficit, 125 cases), and Southern (13.0% deficit, 238 cases). Southern was the only region that had a significantly higher deficit in cases compared to Manitoba (ratio 0.92, 95% CI 0.86, 0.99). Breast and colorectal cancer incidence decreased at the start of the pandemic in all regions except Northern. Lung cancer incidence decreased in the Interlake-Eastern region and increased in the Northern region. Prostate cancer incidence increased in Interlake-Eastern.

CONCLUSIONS

The impact of the COVID-19 pandemic on cancer incidence differed by region. The deficit in the number of cases was largest in the southern region and was highest for breast and prostate cancers. Cancer incidence did not significantly decrease in the most northern, remote region.

摘要

简介

加拿大马尼托巴省的医疗保健分为五个区域,每个区域都有独特的地理位置、人口统计学特征、医疗保健可及性和健康状况。与 COVID-19 相关的限制和随后的应对措施也因地区而异。为了了解大流行对癌症发病率的影响,我们研究了 COVID-19 大流行前后各地区随时间变化的年龄标准化癌症发病率。

方法

我们使用基于人群的准实验研究设计、基于人群的数据和中断时间序列分析,按地区检查 COVID-19 大流行开始前(2015 年 1 月至 2019 年 12 月)和之后(2020 年 4 月至 2021 年 12 月)新癌症诊断的发生率,以及为减轻其影响而实施的干预措施。

结果

总体癌症发病率因地区而异,温尼伯(4.6%的不足,447 例)、草原山(6.9%的不足,125 例)和南部(13.0%的不足,238 例)的发病率仍低于预期。南部是唯一一个与马尼托巴省相比病例明显更多的地区(比值 0.92,95%置信区间 0.86,0.99)。除北部外,所有地区的乳腺癌和结直肠癌发病率在大流行开始时均下降。北部地区的肺癌发病率下降,而北部地区的肺癌发病率上升。前列腺癌发病率在东部内陆地区上升。

结论

COVID-19 大流行对癌症发病率的影响因地区而异。病例数量的不足在南部地区最大,乳腺癌和前列腺癌的不足最高。在最北部的偏远地区,癌症发病率没有显著下降。

https://cdn.ncbi.nlm.nih.gov/pmc/blobs/791f/10726851/b2b745cce221/CAM4-12-21465-g002.jpg

文献检索

告别复杂PubMed语法,用中文像聊天一样搜索,搜遍4000万医学文献。AI智能推荐,让科研检索更轻松。

立即免费搜索

文件翻译

保留排版,准确专业,支持PDF/Word/PPT等文件格式,支持 12+语言互译。

免费翻译文档

深度研究

AI帮你快速写综述,25分钟生成高质量综述,智能提取关键信息,辅助科研写作。

立即免费体验