Laboratory of Experimental Nephrology, Faculty of Medicine, Université Libre de Bruxelles, Erasme Campus, 808 Route de Lennik, 1070 Brussels, Belgium.
Department of Nephrology, Dialysis and Renal Transplantation, Erasme University Hospital, Erasme Campus, 1070 Brussels, Belgium.
Int J Mol Sci. 2023 Nov 18;24(22):16495. doi: 10.3390/ijms242216495.
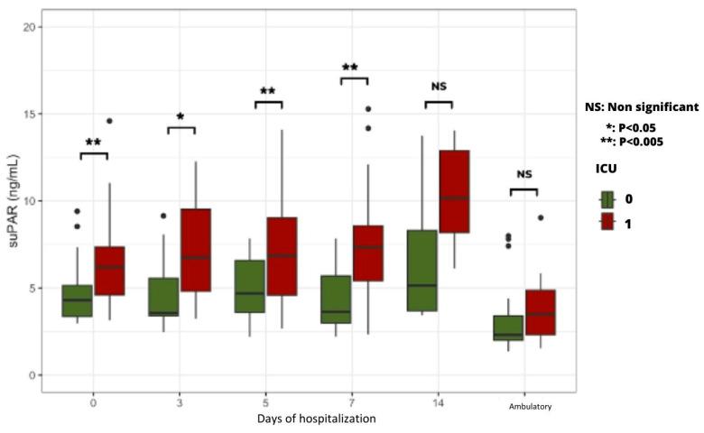
In patients hospitalized for severe COVID-19, the incidence of acute kidney injury (AKI) is approximately 40%. To predict and understand the implications of this complication, various blood and urine biomarkers have been proposed, including neutrophil gelatinase-associated lipocalin (NGAL), chemokine (C-C motif) ligand 14 (CCL14), cystatin C, leucine aminopeptidase (LAP), and soluble urokinase plasminogen activator (suPAR). This study, conducted between mid-January and early May 2021, aimed to assess the diagnostic and prognostic capabilities of these biomarkers in a cohort of COVID-19 patients monitored during the initial two weeks of hospitalization. Among the 116 patients included in this study, 48 developed AKI within the first three days of hospitalization (41%), with 29 requiring intensive care unit (ICU) admission, and the overall mortality rate was 18%. AKI patients exhibited a statistically significant increase in urinary LAP levels, indicating acute tubular injury as a potential mechanism underlying COVID-19-related renal damage. Conversely, urinary NGAL and CCL-14 excretion rates did not differ significantly between the AKI and non-AKI groups. Importantly, elevated plasma suPAR and cystatin C levels upon admission persisted throughout the first week of hospitalization and were associated with unfavorable outcomes, such as prolonged ICU stays and increased mortality, irrespective of AKI development. In conclusion, this study underscores the early predictive value of urinary LAP levels in identifying acute tubular injury in COVID-19-induced AKI. Moreover, elevated plasma suPAR and cystatin C levels serve as valuable prognostic markers, offering insights into the short-term morbidity and mortality risks among COVID-19 patients, regardless of AKI occurrence. These findings shed light on the complex interplay between COVID-19, renal injury, and biomarkers with diagnostic and prognostic potential.
在因严重 COVID-19 住院的患者中,急性肾损伤(AKI)的发生率约为 40%。为了预测和了解这种并发症的影响,已经提出了各种血液和尿液生物标志物,包括中性粒细胞明胶酶相关脂质运载蛋白(NGAL)、趋化因子(C-C 基序)配体 14(CCL14)、胱抑素 C、亮氨酸氨基肽酶(LAP)和可溶性尿激酶型纤溶酶原激活物(suPAR)。这项研究于 2021 年 1 月中旬至 5 月初进行,旨在评估这些生物标志物在 COVID-19 患者队列中的诊断和预后能力,这些患者在住院的头两周内接受监测。在这项研究中,包括 116 名患者,其中 48 名在住院的前三天内发生 AKI(41%),其中 29 名需要入住重症监护病房(ICU),总死亡率为 18%。AKI 患者尿液 LAP 水平显著升高,表明急性肾小管损伤是 COVID-19 相关肾损伤的潜在机制。相反,AKI 组和非 AKI 组的尿 NGAL 和 CCL-14 排泄率无显著差异。重要的是,入院时升高的血浆 suPAR 和胱抑素 C 水平在整个住院第一周内持续存在,与不良结局相关,如 ICU 停留时间延长和死亡率增加,与 AKI 的发生无关。总之,这项研究强调了尿液 LAP 水平在识别 COVID-19 诱导的 AKI 中的急性肾小管损伤的早期预测价值。此外,升高的血浆 suPAR 和胱抑素 C 水平是有价值的预后标志物,为 COVID-19 患者的短期发病率和死亡率风险提供了见解,无论是否发生 AKI。这些发现揭示了 COVID-19、肾损伤和具有诊断和预后潜力的生物标志物之间的复杂相互作用。