Suppr超能文献

分析单元元件不同取向情况下毫米波MIMO天线的性能。

Analyzing the Performance of Millimeter Wave MIMO Antenna under Different Orientation of Unit Element.

作者信息

Islam Tanvir, Alsunaydih Fahad N, Alsaleem Fahd, Alhassoon Khaled

机构信息

Department of Electrical and Computer Engineering, University of Houston, Houston, TX 77204, USA.

Department of Electrical Engineering, College of Engineering, Qassim University, Unaizah 56452, Saudi Arabia.

出版信息

Micromachines (Basel). 2023 Oct 24;14(11):1975. doi: 10.3390/mi14111975.

Abstract

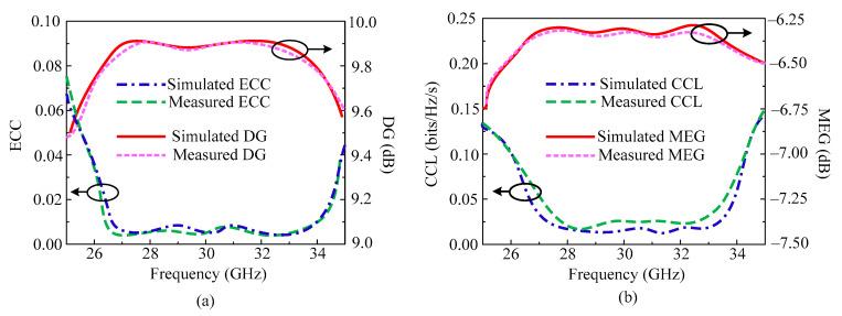
In this paper, a compact and simplified geometry monopole antenna with high gain and wideband is introduced. The presented antenna incorporates a microstrip feedline and a circular patch with two circular rings of stubs, which are inserted into the reference circular patch antenna to enhance the bandwidth and return loss. Roger RT/Duroid 6002 is used as the material for the antenna, and has overall dimensions of W × L = 12 mm × 9 mm. Three designs of two-port MIMO configurations are derived from the reference unit element antenna. In the first design, the antenna element is placed parallel to the reference antenna, while in the second design, the element is placed orthogonal to the reference element of the antenna. In the third design, the antenna elements are adjusted to be opposite each other. In this study, we analyze the isolation between the MIMO elements with different arrangements of the elements. The MIMO configurations have dimensions of 15 mm × 26 mm for two of the cases and 15 mm × 28.75 mm for the third case. All three MIMO antennas are made using similar materials and have the same specifications as the single element antenna. Other significant MIMO parameters, including the envelope correlation coefficient (ECC), diversity gain (DG), channel capacity loss (CCL), and mean effective gain (MEG), are also researched. Additionally, the paper includes a table summarizing the assessment of this work in comparison to relevant literature. The results of this study indicate that the proposed antenna is well-suited for future millimeter wave applications operating at 28 GHz.

摘要

本文介绍了一种具有高增益和宽带特性的紧凑简化几何单极天线。所提出的天线包含一条微带馈线和一个带有两个圆形短截线环的圆形贴片,这些短截线被插入到参考圆形贴片天线中以提高带宽和回波损耗。采用Roger RT/Duroid 6002作为天线材料,其整体尺寸为W×L = 12毫米×9毫米。从参考单元天线推导出了三种双端口MIMO配置设计。在第一种设计中,天线单元与参考天线平行放置,而在第二种设计中,该单元与天线的参考单元正交放置。在第三种设计中,天线单元被调整为彼此相对。在本研究中,我们分析了不同单元排列方式下MIMO单元之间的隔离度。其中两种情况下MIMO配置的尺寸为15毫米×26毫米,第三种情况为15毫米×28.75毫米。所有三种MIMO天线均采用相似材料制作,且与单单元天线具有相同的规格。还研究了其他重要的MIMO参数,包括包络相关系数(ECC)、分集增益(DG)、信道容量损耗(CCL)和平均有效增益(MEG)。此外,本文还包括一个表格,总结了与相关文献相比这项工作的评估情况。本研究结果表明,所提出的天线非常适合未来在28 GHz工作的毫米波应用。

https://cdn.ncbi.nlm.nih.gov/pmc/blobs/a2fe/10673260/b7320a592776/micromachines-14-01975-g001.jpg

文献AI研究员

20分钟写一篇综述,助力文献阅读效率提升50倍。

立即体验

用中文搜PubMed

大模型驱动的PubMed中文搜索引擎

马上搜索

文档翻译

学术文献翻译模型,支持多种主流文档格式。

立即体验