Suppr超能文献

玻璃衬底上非晶锗薄膜的超快红外激光结晶

Ultrafast Infrared Laser Crystallization of Amorphous Ge Films on Glass Substrates.

作者信息

Cheng Yuzhu, Bulgakov Alexander V, Bulgakova Nadezhda M, Beránek Jiří, Zukerstein Martin, Milekhin Ilya A, Popov Alexander A, Volodin Vladimir A

机构信息

Physics Department, Novosibirsk State University, Pirogova Street, 2, Novosibirsk 630090, Russia.

HiLASE Centre, Institute of Physics of the Czech Academy of Sciences, Za Radnicí 828, 25241 Dolní Břežany, Czech Republic.

出版信息

Micromachines (Basel). 2023 Oct 31;14(11):2048. doi: 10.3390/mi14112048.

Abstract

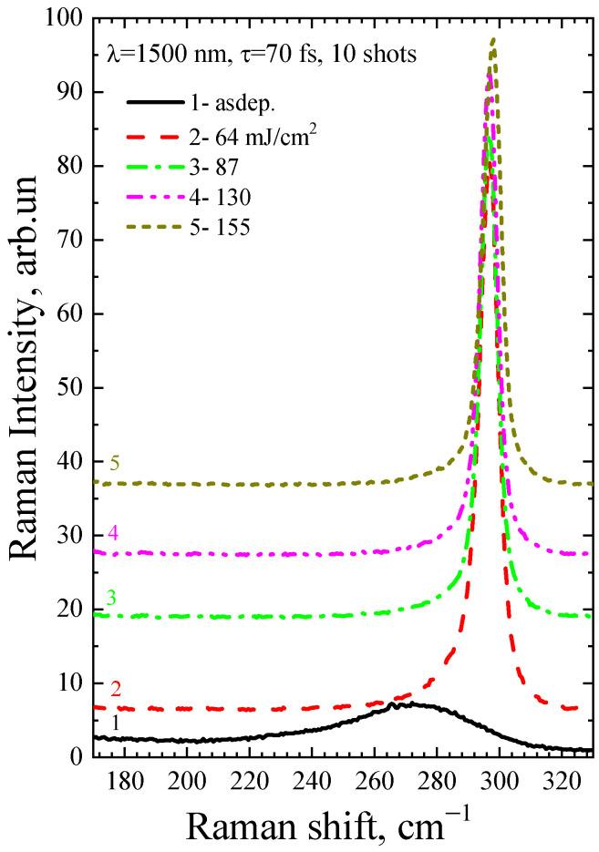
Amorphous germanium films on nonrefractory glass substrates were annealed by ultrashort near-infrared (1030 nm, 1.4 ps) and mid-infrared (1500 nm, 70 fs) laser pulses. Crystallization of germanium irradiated at a laser energy density (fluence) range from 25 to 400 mJ/cm under single-shot and multishot conditions was investigated using Raman spectroscopy. The dependence of the fraction of the crystalline phase on the fluence was obtained for picosecond and femtosecond laser annealing. The regimes of almost complete crystallization of germanium films over the entire thickness were obtained (from the analysis of Raman spectra with excitation of 785 nm laser). The possibility of scanning laser processing is shown, which can be used to create films of micro- and nanocrystalline germanium on flexible substrates.

摘要

在非难熔玻璃衬底上的非晶锗薄膜通过超短近红外(1030纳米,1.4皮秒)和中红外(1500纳米,70飞秒)激光脉冲进行退火处理。使用拉曼光谱研究了在单次和多次照射条件下,激光能量密度(通量)范围为25至400毫焦/平方厘米时锗的结晶情况。获得了皮秒和飞秒激光退火时晶相分数与通量的关系。(通过对785纳米激光激发的拉曼光谱分析)得出了锗薄膜在整个厚度上几乎完全结晶的状态。展示了扫描激光加工的可能性,其可用于在柔性衬底上制备微米和纳米晶锗薄膜。

https://cdn.ncbi.nlm.nih.gov/pmc/blobs/dac6/10673445/7bf0892627ac/micromachines-14-02048-g001.jpg

文献AI研究员

20分钟写一篇综述,助力文献阅读效率提升50倍。

立即体验

用中文搜PubMed

大模型驱动的PubMed中文搜索引擎

马上搜索

文档翻译

学术文献翻译模型,支持多种主流文档格式。

立即体验