Suppr超能文献

新型含氧化芳香族官能团多胺的抗菌性能。

Antimicrobial Properties of New Polyamines Conjugated with Oxygen-Containing Aromatic Functional Groups.

机构信息

Institute of Molecular Science, University of Valencia, 46980 Valencia, Spain.

Escuela Superior de Ingeniería, Ciencia y Tecnología, International University of Valencia-VIU, 46002 Valencia, Spain.

出版信息

Molecules. 2023 Nov 20;28(22):7678. doi: 10.3390/molecules28227678.

Abstract

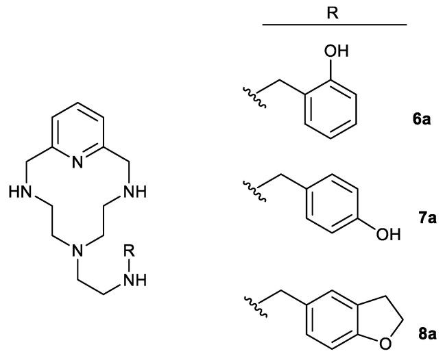
Antibiotic resistance is now a first-order health problem, which makes the development of new families of antimicrobials imperative. These compounds should ideally be inexpensive, readily available, highly active, and non-toxic. Here, we present the results of our investigation regarding the antimicrobial activity of a series of natural and synthetic polyamines with different architectures (linear, tripodal, and macrocyclic) and their derivatives with the oxygen-containing aromatic functional groups 1,3-benzodioxol, ortho/para phenol, or 2,3-dihydrobenzofuran. The new compounds were prepared through an inexpensive process, and their activity was tested against selected strains of yeast, as well as Gram-positive and Gram-negative bacteria. In all cases, the conjugated derivatives showed antimicrobial activity higher than the unsubstituted polyamines. Several factors, such as the overall charge at physiological pH, lipophilicity, and the topology of the polyamine scaffold were relevant to their activity. The nature of the lipophilic moiety was also a determinant of human cell toxicity. The lead compounds were found to be bactericidal and fungistatic, and they were synergic with the commercial antifungals fluconazole, cycloheximide, and amphotericin B against the yeast strains tested.

摘要

抗生素耐药性现在是一个首要的健康问题,这使得开发新的抗生素家族变得势在必行。这些化合物理想情况下应该是廉价的、易于获得的、高度有效的且无毒的。在这里,我们展示了一系列具有不同结构(线性、三足形和大环)的天然和合成聚胺及其带有含氧芳香官能团 1,3-苯并二恶唑、邻/对苯二酚或 2,3-二氢苯并呋喃的衍生物的抗菌活性研究结果。新化合物通过一种廉价的工艺制备,并测试了它们对选定的酵母菌株以及革兰氏阳性和革兰氏阴性细菌的活性。在所有情况下,共轭衍生物的抗菌活性均高于未取代的聚胺。许多因素,如生理 pH 下的总电荷、亲脂性和聚胺支架的拓扑结构都与其活性有关。亲脂部分的性质也是人细胞毒性的决定因素。发现这些先导化合物具有杀菌和抑菌作用,并且它们与商业抗真菌药氟康唑、环己酰亚胺和两性霉素 B 对测试的酵母菌株具有协同作用。

https://cdn.ncbi.nlm.nih.gov/pmc/blobs/8292/10675077/b662bd95bac6/molecules-28-07678-g001.jpg

文献AI研究员

20分钟写一篇综述,助力文献阅读效率提升50倍。

立即体验

用中文搜PubMed

大模型驱动的PubMed中文搜索引擎

马上搜索

文档翻译

学术文献翻译模型,支持多种主流文档格式。

立即体验