School of Pharmaceutical Sciences, São Paulo State University (UNESP), Araraquara 14800-903, Brazil.
Viruses. 2023 Nov 9;15(11):2234. doi: 10.3390/v15112234.
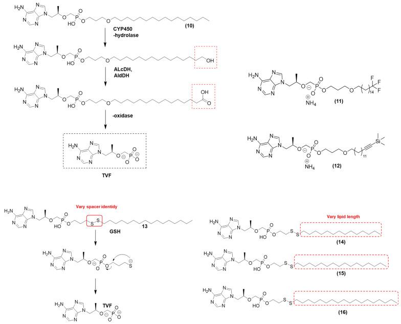
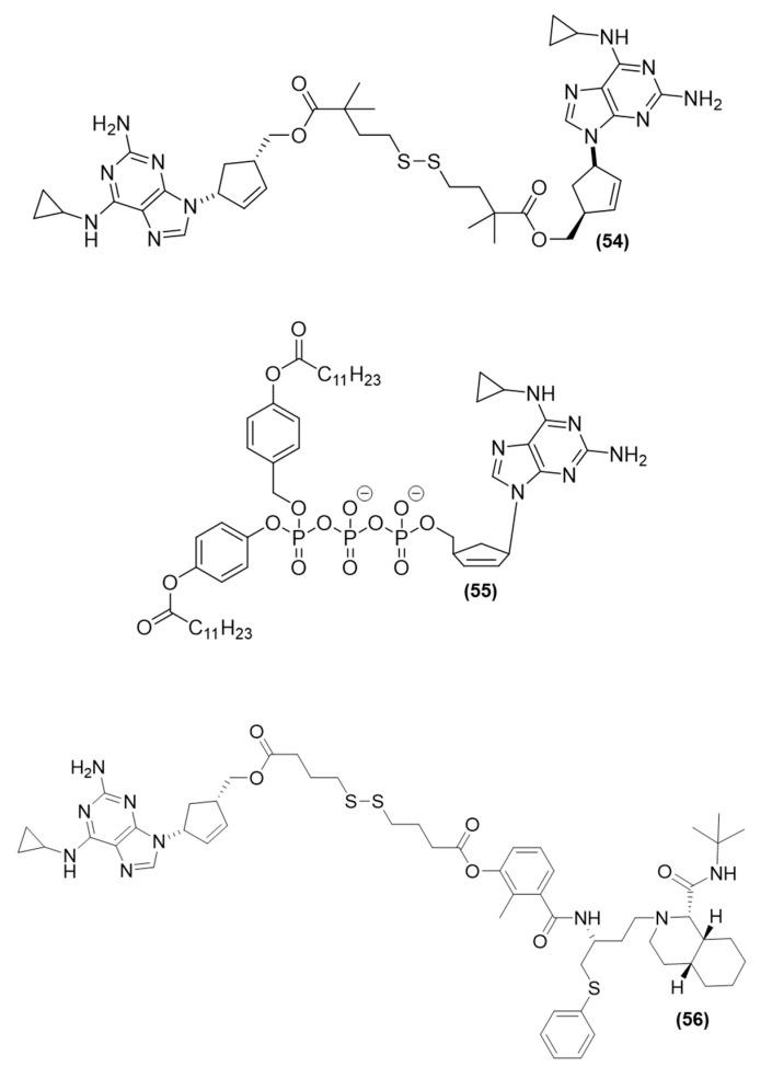
Antiretroviral Therapy (ART) is an effective treatment for human immunodeficiency virus (HIV) which has transformed the highly lethal disease, acquired immunodeficiency syndrome (AIDS), into a chronic and manageable condition. However, better methods need to be developed for enhancing patient access and adherence to therapy and for improving treatment in the long term to reduce adverse effects. From the perspective of drug discovery, one promising strategy is the development of anti-HIV prodrugs. This approach aims to enhance the efficacy and safety of treatment, promoting the development of more appropriate and convenient systems for patients. In this review, we discussed the use of the prodrug approach for HIV antiviral agents and emphasized nucleoside reverse transcriptase inhibitors. We comprehensively described various strategies that are used to enhance factors such as water solubility, bioavailability, pharmacokinetic parameters, permeability across biological membranes, chemical stability, drug delivery to specific sites/organs, and tolerability. These strategies might help researchers conduct better studies in this field. We also reported successful examples from the primary therapeutic classes while discussing the advantages and limitations. In this review, we highlighted the key trends in the application of the prodrug approach for treating HIV/AIDS.
抗逆转录病毒疗法(ART)是一种有效的人类免疫缺陷病毒(HIV)治疗方法,它将高度致命的疾病艾滋病转变为慢性且可控制的疾病。然而,需要开发更好的方法来提高患者对治疗的获得和依从性,并改善长期治疗效果,以降低不良反应。从药物发现的角度来看,一种有前途的策略是开发抗 HIV 前药。这种方法旨在提高治疗的疗效和安全性,促进为患者开发更合适和方便的系统。在这篇综述中,我们讨论了使用前药方法来开发 HIV 抗病毒药物,重点是核苷逆转录酶抑制剂。我们全面描述了各种用于提高水溶性、生物利用度、药代动力学参数、生物膜通透性、化学稳定性、药物递送到特定部位/器官以及耐受性等因素的策略。这些策略可能有助于研究人员在该领域开展更好的研究。在讨论优势和局限性的同时,我们还报告了主要治疗类别中的成功案例。在这篇综述中,我们强调了前药方法在治疗 HIV/AIDS 中的应用的关键趋势。