Suppr超能文献

一种新型改性纳米氧化铝复合溶胶在森林灭火中的潜在应用。

A novel modified nano-alumina composite sol for potential application in forest firefighting.

作者信息

Du Weining, Yan Mingqiang, Yin Chaolu, Zhang Zejiang

机构信息

Sichuan Fire Research Institute of Ministry of Emergency Management Chengdu 610036 China

出版信息

RSC Adv. 2023 Nov 17;13(48):33820-33825. doi: 10.1039/d3ra03979j. eCollection 2023 Nov 16.

Abstract

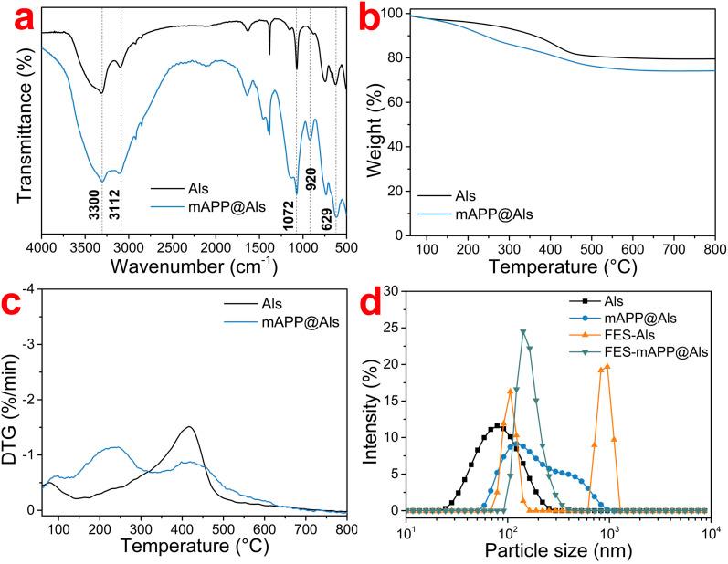
Herein, modified ammonium polyphosphate wrapped nano-alumina (mAPP@Als) was first synthesized and then dispersed in traditional fire extinguishing solution (FES) to fabricate a FES-mAPP@Als composite sol. It was found that the phosphorus-silica containing units were attached onto the nano-alumina surface, and the mAPP@Als particles showed excellent dispersion level in FES with a single-domain particle size distribution range. Due to the synergistic effects of the phosphorus-nitrogen and silica-alumina flame retardant components, FES-mAPP@Als (5% concentration) coated wood exhibited improved limiting oxygen index (33.2%) and carbonization ability, and depressed heat release (41.9%) and smoke production (10.7%), as compared to the pristine wood. In addition, the FES-mAPP@Als composite sol showed enhanced fire-extinguishing and anti-reignition capacities compared to the FES. This research offers a novel composite sol fire extinguishing agent for fighting forest fires.

摘要

在此,首次合成了改性聚磷酸铵包覆的纳米氧化铝(mAPP@Als),然后将其分散在传统灭火溶液(FES)中,制备了FES-mAPP@Als复合溶胶。发现含磷硅单元附着在纳米氧化铝表面,mAPP@Als颗粒在FES中表现出优异的分散水平,粒径分布范围为单域。由于磷-氮和硅-铝阻燃成分的协同作用,与原始木材相比,FES-mAPP@Als(浓度为5%)包覆的木材表现出更高的极限氧指数(33.2%)和碳化能力,以及更低的热释放(41.9%)和烟雾产生(10.7%)。此外,与FES相比,FES-mAPP@Als复合溶胶表现出增强的灭火和抗复燃能力。本研究为森林火灾扑救提供了一种新型复合溶胶灭火剂。

https://cdn.ncbi.nlm.nih.gov/pmc/blobs/d52d/10655849/7e3d63328468/d3ra03979j-f1.jpg

文献检索

告别复杂PubMed语法,用中文像聊天一样搜索,搜遍4000万医学文献。AI智能推荐,让科研检索更轻松。

立即免费搜索

文件翻译

保留排版,准确专业,支持PDF/Word/PPT等文件格式,支持 12+语言互译。

免费翻译文档

深度研究

AI帮你快速写综述,25分钟生成高质量综述,智能提取关键信息,辅助科研写作。

立即免费体验