Chen Yulong, Yao Qin, Zhang Lijuan, Zeng Pengjiao
Department of Obstetrics and Gynecology, The Affiliated Hospital of Qingdao University, Qingdao, China.
Department of Obstetrics and Gynecology, Qingdao University Medical College, Qingdao, China.
Front Chem. 2023 Nov 9;11:1289211. doi: 10.3389/fchem.2023.1289211. eCollection 2023.
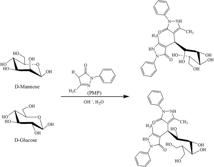
Abnormal levels of monosaccharides in blood have been linked to tumorigenesis. In this study, a novel high-performance liquid chromatography (HPLC) method was established for the simultaneous determination of free mannose and glucose in the serum. The serum was directly derivatized by 1-phenyl-3-methyl-5-pyrazolone under alkaline conditions using L-rhamnose as an internal standard. The chromatographic separation was then performed on a Poroshell EC-C chromatographic column (4.6 × 100 mm, particle size 2.7 μm, Agilent) with gradient elution using NHAc-HAc and acetonitrile as the mobile phases. The method was thereafter validated according to international guidelines. The serum samples obtained from 200 healthy individuals and 200 ovarian cancer (OC) patients were analyzed for free mannose and glucose. The method was found to be reproducible for quantification within 20 min and included online sample purification. The method displayed excellent linearity in the concentration range (for mannose: 0.5-500 μg/mL; glucose: 0.5-1500 μg/mL). The precision, recovery, and stability met the FDA bioanalytical method validation acceptance criteria. Overall, the measurement of glucose content by HPLC correlated well with the different enzymatic methods. Ovarian cancer mannose levels in the serum were significantly higher in the advanced stage (61.22 μmol/L, < 0.0001) than those in healthy volunteers and early-stage patients (44.51 μmol/L 50.09 μmol/L, < 0.0001). The AUC for the ratio of serum free glucose to mannose (G/M) was 0.98 ( < 0.0001), with a sensitivity of 91.46% and a specificity of 98.50%, which served as a biomarker for OC diagnosis. We report a simple, repeatable, and attractive analytical method by HPLC, which can be used for quantitative estimation of free mannose and glucose simultaneously in human serum. Our results indicate that the serum level of mannose could be used as a potential biomarker of ovarian cancer.
血液中异常水平的单糖与肿瘤发生有关。在本研究中,建立了一种新型高效液相色谱(HPLC)方法,用于同时测定血清中的游离甘露糖和葡萄糖。血清在碱性条件下用1-苯基-3-甲基-5-吡唑啉酮直接衍生化,以L-鼠李糖作为内标。然后在Poroshell EC-C色谱柱(4.6×100 mm,粒径2.7μm,安捷伦)上进行色谱分离,使用NHAc-HAc和乙腈作为流动相进行梯度洗脱。此后,根据国际指南对该方法进行了验证。对从200名健康个体和200名卵巢癌(OC)患者获得的血清样本进行游离甘露糖和葡萄糖分析。该方法在20分钟内定量具有可重复性,且包括在线样品净化。该方法在浓度范围内(甘露糖:0.5 - 500μg/mL;葡萄糖:0.5 - 1500μg/mL)显示出良好的线性。精密度、回收率和稳定性均符合FDA生物分析方法验证接受标准。总体而言,通过HPLC测定葡萄糖含量与不同的酶法相关性良好。晚期卵巢癌患者血清中的甘露糖水平(61.22μmol/L,<0.0001)显著高于健康志愿者和早期患者(44.51μmol/L 50.09μmol/L,<0.0001)。血清游离葡萄糖与甘露糖比值(G/M)的AUC为0.98(<0.0001),灵敏度为91.46%,特异性为98.50%,可作为OC诊断的生物标志物。我们报告了一种通过HPLC的简单、可重复且有吸引力的分析方法,可用于同时定量估计人血清中的游离甘露糖和葡萄糖。我们的结果表明,甘露糖的血清水平可作为卵巢癌的潜在生物标志物。