Suppr超能文献

基于天冬氨酸转氨酶与血小板比值指数的新型预测列线图在肝细胞癌术后辅助经动脉化疗栓塞中的应用

Novel predictive nomograms based on aspartate aminotransferase‑to‑platelet ratio index for hepatocellular carcinoma with post‑operative adjuvant transarterial chemoembolization.

作者信息

Shu Qinghua, Zhang Nannan, Han Jianbo, Yan Xiaopeng, Sha Bowen, Zhao Liang, Yi Yongxiang, Zhang Yufeng

机构信息

Department of Hepatopancreatobiliary Surgery, The Second Hospital of Nanjing, Nanjing University of Chinese Medicine, Nanjing, Jiangsu 210003, P.R. China.

Department of Gastroenterology, Jiangsu Geriatric Hospital/Jiangsu Official Hospital, Nanjing, Jiangsu 210024, P.R. China.

出版信息

Oncol Lett. 2023 Nov 7;27(1):3. doi: 10.3892/ol.2023.14137. eCollection 2024 Jan.

Abstract

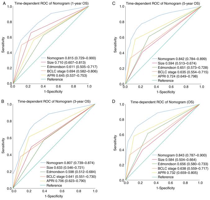
The clinical significance of systemic inflammation assessed with laboratory analysis of blood samples has been validated in a variety of cancers. The present study was conducted to investigate prognostic significance of preoperative aspartate aminotransferase-to-platelet ratio index (APRI) for the outcome of hepatocellular carcinoma (HCC) patients receiving post-operative adjuvant transarterial chemoembolization (PATACE). A total of 201 patients who underwent PATACE were retrospectively analyzed. A nomogram for HCC was developed using predictors based on multivariate Cox models, and bootstrapping was performed for validation. According to the ROC curve, which was used to divide patients into two cohorts: High APRI group (APRI>1.02) and Low APRI group (APRI≤1.02). In subgroup survival analysis, patients with a relatively low APRI had significantly longer disease-free survival (DFS) and overall survival (OS) than patients with a relatively high APRI, regardless of Barcelona Clinic Liver Cancer (BCLC) stages (BCLC 0/A or BCLC B/C, both P<0.05); while in China liver cancer staging I/II and TNM I/II stage patients, relatively low APRI was associated with improved DFS and OS (both P<0.05). Multivariate Cox models demonstrated that APRI and BCLC stages were independent prognostic factors of DFS and OS (both P<0.05). Nomograms for DFS and OS were constructed, respectively. Calibration curve analysis showed that the standard curve fitted well with the predicted curve. Time-receiver operating characteristic curve analysis revealed that the nomogram had high efficiency. Decision curve analysis demonstrated the high clinical value of the nomogram. APRI is an independent prognostic factor of DFS and OS in HCC patients receiving PATACE, and the combination of APRI with the HCC staging system can refine risk stratification to provide a more accurate prognostic assessment for the outcome of patients receiving PATACE.

摘要

通过血液样本实验室分析评估的全身炎症的临床意义已在多种癌症中得到验证。本研究旨在探讨术前天冬氨酸转氨酶与血小板比值指数(APRI)对接受术后辅助性经动脉化疗栓塞术(PATACE)的肝细胞癌(HCC)患者预后的意义。对总共201例行PATACE的患者进行了回顾性分析。使用基于多变量Cox模型的预测因子建立了HCC的列线图,并进行了自举法验证。根据ROC曲线,将患者分为两个队列:高APRI组(APRI>1.02)和低APRI组(APRI≤1.02)。在亚组生存分析中,无论巴塞罗那临床肝癌(BCLC)分期如何(BCLC 0/A期或BCLC B/C期,P均<0.05),APRI相对较低的患者无病生存期(DFS)和总生存期(OS)均显著长于APRI相对较高的患者;而在中国肝癌分期I/II期和TNM I/II期患者中,相对较低的APRI与DFS和OS改善相关(P均<0.05)。多变量Cox模型表明,APRI和BCLC分期是DFS和OS的独立预后因素(P均<0.05)。分别构建了DFS和OS的列线图。校准曲线分析表明标准曲线与预测曲线拟合良好。时间-接受者操作特征曲线分析显示列线图效率高。决策曲线分析证明了列线图的高临床价值。APRI是接受PATACE的HCC患者DFS和OS的独立预后因素,APRI与HCC分期系统的结合可以优化风险分层,为接受PATACE的患者结局提供更准确的预后评估。

https://cdn.ncbi.nlm.nih.gov/pmc/blobs/0fbd/10665988/ba12d26112a2/ol-27-01-14137-g00.jpg

文献AI研究员

20分钟写一篇综述,助力文献阅读效率提升50倍。

立即体验

用中文搜PubMed

大模型驱动的PubMed中文搜索引擎

马上搜索

文档翻译

学术文献翻译模型,支持多种主流文档格式。

立即体验