Suppr超能文献

组成对交联聚丙烯酸钠/硅酸钠水凝胶物理化学性质的影响。

Effect of Composition on the Physicochemical Properties of Cross-Linked Poly(sodium acrylate)/Sodium Silicate Hydrogels.

作者信息

Mastalska-Popławska Joanna, Wójcik Łukasz, Izak Piotr, Konaszewski Damian

机构信息

Faculty of Materials Science and Ceramics, Department of Ceramics and Refractories, AGH University of Science and Technology, 30-059 Krakow, Poland.

出版信息

Materials (Basel). 2023 Nov 29;16(23):7422. doi: 10.3390/ma16237422.

Abstract

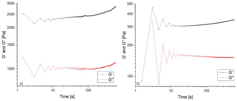
The paper presents the results of research on the influence of the components of composition on the physicochemical properties of cross-linked poly(sodium acrylate)/sodium silicate hydrogels. The results of the rheological measurements showed that an increasing share of polyacrylate in the sample causes a shift of the cross-over point towards longer times and improves mechanical properties. In turn, increasing the share of sodium silicate has a positive effect on extending the fire insulation time (I). TG/DSC analysis indicated that if the sample contained more than 50 wt.% of polymer, the thermal decomposition was a three-stage process, while if the sample contained more water glass, the decomposition was two stage. UV-Vis measurements and SEM analysis confirmed, inter alia, that increasing the share of polyacrylate causes improvement of the optical parameters and homogeneity of the tested hydrogels. The presented results suggest that by controlling the share of the main components of the silicate-polymer hydrogels, it is possible to control their mechanical, optical and thermal properties. Multiplication of the layers or increasing their thickness improves their fire-retardant properties.

摘要

本文介绍了组合物成分对交联聚丙烯酸钠/硅酸钠水凝胶物理化学性质影响的研究结果。流变学测量结果表明,样品中聚丙烯酸盐份额的增加会使交叉点向更长时间偏移,并改善机械性能。反过来,增加硅酸钠的份额对延长防火时间(I)有积极影响。TG/DSC分析表明,如果样品中聚合物含量超过50 wt.%,热分解是一个三阶段过程,而如果样品中含有更多水玻璃,则分解是两阶段的。UV-Vis测量和SEM分析尤其证实,增加聚丙烯酸盐的份额会改善测试水凝胶的光学参数和均匀性。给出的结果表明,通过控制硅酸盐-聚合物水凝胶主要成分的份额,可以控制它们的机械、光学和热性能。增加层数或增大其厚度可改善其阻燃性能。

https://cdn.ncbi.nlm.nih.gov/pmc/blobs/8762/10707403/381b6647ea81/materials-16-07422-g001.jpg

文献AI研究员

20分钟写一篇综述,助力文献阅读效率提升50倍。

立即体验

用中文搜PubMed

大模型驱动的PubMed中文搜索引擎

马上搜索

文档翻译

学术文献翻译模型,支持多种主流文档格式。

立即体验