Suppr超能文献

新型聚乙烯醇/结冷胶基生物塑料,添加番石榴和鹰嘴豆提取物,用于食品包装。

New polyvinyl alcohol/gellan gum-based bioplastics with guava and chickpea extracts for food packaging.

机构信息

Egyptian Petroleum Research Institute, Naser City, Cairo, 11727, Egypt.

Faculty of Biotechnology, October University for Modern Sciences and Arts, 6th of October City, Egypt.

出版信息

Sci Rep. 2023 Dec 16;13(1):22384. doi: 10.1038/s41598-023-49756-0.

Abstract

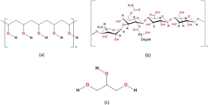
Plastic is a fossil-based synthetic polymer that has become an essential material in our daily life. Plastic pollution resulting from the accumulation of plastic objects has become problematic for our environment. Bioplastic can be a biodegradable environmentally friendly alternative for the synthetic plastic. In this paper, bioplastics based on polyvinyl alcohol (PVA)/gellan gum (GG) blend have been produced in three different compositions and their chemical structure, mechanical, morphological and thermal properties have been studied. Glycerol has been used as a plasticizer. To add extra features to the PVA/GG bioplastic, Psidium guajava (guava) leaves, GL, and chickpea, CP, extracts have been added to the PVA/GG (30/70) blend. Water and aqueous ethanol have been used in the extraction of GL and CP, respectively. The addition of the plant's extracts enhanced the tensile properties of the PVA/GG bioplastic. Weathering acceleration tests have been carried out to examine the degradation of the prepared bioplastics. Cytotoxicity studies revealed that the prepared bioplastic is safe to be used in food packaging applications. Water and oxygen permeability for the new PVA/GG bioplastic have also been studied. The addition of the plant extracts (GL and CP extracts) increased the oxygen and water permeability to different extents. Bioplastic life cycle assessment (LCA) and CO emissions in comparison to fossil-based plastic have been investigated. From all the results, PVA/GG based bioplastic proved to be a degradable, safe and effective alternative for fossil-based plastics in food packaging applications.

摘要

塑料是一种基于化石的合成聚合物,已成为我们日常生活中必不可少的材料。由于塑料物体的积累而导致的塑料污染对我们的环境造成了问题。生物塑料可以作为合成塑料的可生物降解的环保替代品。在本文中,我们以聚乙烯醇(PVA)/结冷胶(GG)共混物为基础生产了三种不同组成的生物塑料,并研究了它们的化学结构、机械性能、形态和热性能。甘油被用作增塑剂。为了给 PVA/GG 生物塑料添加额外的特性,我们将番石榴叶(番石榴)提取物 GL 和鹰嘴豆提取物 CP 添加到 PVA/GG(30/70)共混物中。水和乙醇水溶液分别用于提取 GL 和 CP。植物提取物的添加提高了 PVA/GG 生物塑料的拉伸性能。我们进行了加速风化试验来检查所制备的生物塑料的降解情况。细胞毒性研究表明,所制备的生物塑料可安全用于食品包装应用。我们还研究了新的 PVA/GG 生物塑料的水和氧气渗透率。植物提取物(GL 和 CP 提取物)的添加在不同程度上增加了氧气和水的渗透率。我们还对生物塑料的生命周期评估(LCA)和 CO 排放量进行了研究,并与基于化石的塑料进行了比较。所有结果表明,PVA/GG 基生物塑料可作为一种可生物降解、安全且有效的替代传统化石塑料的材料,可用于食品包装应用。

https://cdn.ncbi.nlm.nih.gov/pmc/blobs/29b8/10725440/3ae16bf0bbac/41598_2023_49756_Fig1_HTML.jpg

文献AI研究员

20分钟写一篇综述,助力文献阅读效率提升50倍。

立即体验

用中文搜PubMed

大模型驱动的PubMed中文搜索引擎

马上搜索

文档翻译

学术文献翻译模型,支持多种主流文档格式。

立即体验