Suppr超能文献

噻吩衍生物通过内在凋亡途径对人急性淋巴细胞白血病细胞造成细胞毒性。

Thiophene derivative inflicts cytotoxicity via an intrinsic apoptotic pathway on human acute lymphoblastic leukemia cells.

机构信息

Department of Biological Sciences, The Border Biomedical Research Center, The University of Texas at El Paso, El Paso, Texas, United States of America.

Department of Molecular and Translational Medicine, Center of Emphasis in Cancer, Paul Foster School of Medicine, Texas Tech University Health Science Center El Paso, El Paso, Texas, United States of America.

出版信息

PLoS One. 2023 Dec 21;18(12):e0295441. doi: 10.1371/journal.pone.0295441. eCollection 2023.

Abstract

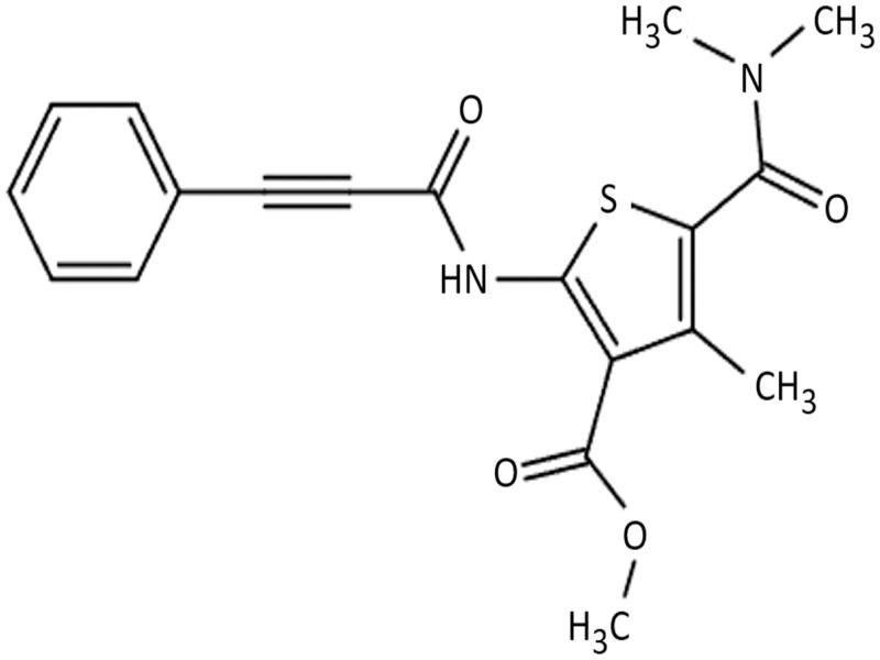
In an effort to identify novel anti-cancer agents, we employed a well-established High Throughput Screening (HTS) assay to assess the cytotoxic effect of compounds within the ChemBridge DIVERSet Library on a lymphoma cell line. This screen revealed a novel thiophene, F8 (methyl 5-[(dimethylamino)carbonyl]-4-methyl-2-[(3-phenyl-2-propynoyl) amino]-3-thiophenecarboxylate), that displays anti-cancer activity on lymphoma, leukemia, and other cancer cell lines. Thiophenes and thiophene derivatives have emerged as an important class of heterocyclic compounds that have displayed favorable drug characteristics. They have been previously reported to exhibit a broad spectrum of properties and varied uses in the field of medicine. In addition, they have proven to be effective drugs in various disease scenarios. They contain anti-inflammatory, anti-anxiety, anti-psychotic, anti-microbial, anti-fungal, estrogen receptor modulating, anti-mitotic, kinase inhibiting and anti-cancer activities, rendering compounds with a thiophene a subject of significant interest in the scientific community. Compound F8 consistently induced cell death at a low micromolar range on a small panel of cancer cell lines after a 48 h period. Further investigation revealed that F8 induced phosphatidylserine externalization, reactive oxygen species generation, mitochondrial depolarization, kinase inhibition, and induces apoptosis. These findings demonstrate that F8 has promising anti-cancer activity.

摘要

为了寻找新的抗癌药物,我们采用了一种成熟的高通量筛选(HTS)方法,评估 ChemBridge DIVERSet 文库中的化合物对淋巴瘤细胞系的细胞毒性作用。该筛选发现了一种新型噻吩 F8(甲基 5-[(二甲基氨基)羰基]-4-甲基-2-[(3-苯基-2-丙炔酰基)氨基]-3-噻吩羧酸酯),对淋巴瘤、白血病和其他癌细胞系具有抗癌活性。噻吩和噻吩衍生物已成为一类重要的杂环化合物,具有良好的药物特性。它们以前曾被报道具有广泛的性质和在医学领域的各种用途。此外,它们已被证明在各种疾病情况下是有效的药物。它们具有抗炎、抗焦虑、抗精神病、抗微生物、抗真菌、雌激素受体调节、抗有丝分裂、激酶抑制和抗癌活性,使得具有噻吩的化合物成为科学界关注的焦点。在一个小型的癌细胞系面板中,F8 在 48 小时后以低微摩尔范围持续诱导细胞死亡。进一步的研究表明,F8 诱导了磷脂酰丝氨酸外翻、活性氧生成、线粒体去极化、激酶抑制,并诱导细胞凋亡。这些发现表明 F8 具有有前途的抗癌活性。

https://cdn.ncbi.nlm.nih.gov/pmc/blobs/c3a8/10734950/faf03f7d1afb/pone.0295441.g001.jpg

文献AI研究员

20分钟写一篇综述,助力文献阅读效率提升50倍。

立即体验

用中文搜PubMed

大模型驱动的PubMed中文搜索引擎

马上搜索

文档翻译

学术文献翻译模型,支持多种主流文档格式。

立即体验