Department of Biotechnology and Food Microbiology, Wrocław University of Environmental and Life Sciences, 51-630 Wrocław, Poland.
Int J Mol Sci. 2023 Dec 7;24(24):17237. doi: 10.3390/ijms242417237.
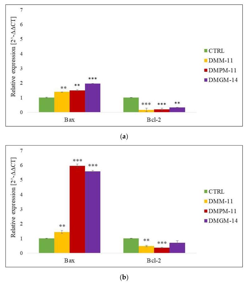
Quaternary ammonium surfactants, due to their diverse chemical structure and their biological properties, can be used in medicine as DNA carriers, disinfectants, and antimicrobial and antitumor agents. In this study, using melanoma A375, colon adenocarcinoma HT-29 and normal human dermal fibroblast (NHDF) cells, we tested the hypothesis that the quaternary ammonium surfactants 2-dodecanoyloxyethyl)trimethylammonium bromide (DMM-11), 2-dodecanoyloxypropyl)trimethylammonium bromide (DMPM-11) and 2-pentadecanoyloxymethyl)trimethylammonium bromide (DMGM-14) act selectively against cancer cells. The results showed that these compounds led to the initiation of the apoptotic process of programmed cell death, as evidenced by the ratio of the relative expression of Bax protein to Bcl-2. The encapsulation of surfactants in liposomes allowed lower concentrations to be used. Moreover, encapsulation reduced their toxicity towards non-cancerous cells. The anticancer efficiency and apoptotic effect of the liposomal formulations with surfactants (DMM-11, DMPM-11 and DMGM-14) were higher than those of surfactant-free liposomes. Therefore, quaternary ammonium surfactant-loaded liposomes show significant potential as delivery vehicles for the treatment of melanoma and colon cancers. The use of nano-formulations offers the advantage of optimizing quaternary ammonium surfactant delivery for improved anticancer therapy.
季铵盐表面活性剂由于其多样的化学结构和生物特性,可用于医学领域,如 DNA 载体、消毒剂以及抗菌和抗肿瘤药物。在本研究中,我们使用黑色素瘤 A375、结肠腺癌 HT-29 和正常人皮肤成纤维细胞(NHDF)细胞,验证了以下假说,即季铵盐表面活性剂 2-月桂酰氧基乙基)三甲基溴化铵(DMM-11)、2-月桂酰氧基丙基)三甲基溴化铵(DMPM-11)和 2-棕桐酰氧基甲基)三甲基溴化铵(DMGM-14)可以选择性地作用于癌细胞。结果表明,这些化合物引发了程序性细胞死亡的凋亡过程,这可以通过 Bax 蛋白与 Bcl-2 的相对表达比值来证明。表面活性剂包封在脂质体中可以降低使用浓度。此外,包封降低了它们对非癌细胞的毒性。含有表面活性剂(DMM-11、DMPM-11 和 DMGM-14)的脂质体制剂的抗癌效率和凋亡作用均高于不含表面活性剂的脂质体。因此,负载季铵盐表面活性剂的脂质体作为治疗黑色素瘤和结肠癌的药物载体具有显著的潜力。纳米制剂的使用具有优化季铵盐表面活性剂传递的优势,从而提高抗癌治疗效果。