Suppr超能文献

将废弃聚苯乙烯泡沫塑料转化为用于发光二极管应用的蓝色发光聚合物薄膜。

Conversion of Waste Expanded Polystyrene into Blue-Emitting Polymer Film for Light-Emitting Diode Applications.

作者信息

Su Huanyou, Lin Hua, Li Pengfei, Li Bowen, Xu Xiaodong, Li Jiacheng, Wu Yuanquan, Hui Jiaqi, Liu Dan

机构信息

College of Biological, Chemical Sciences and Engineering, Jiaxing University, Jiaxing 314001, China.

出版信息

Polymers (Basel). 2023 Dec 13;15(24):4693. doi: 10.3390/polym15244693.

Abstract

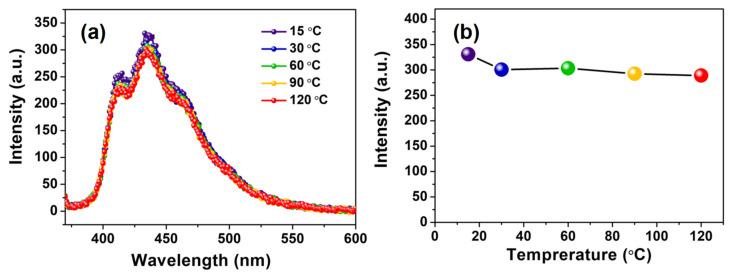
The wide range of applications and continuous demand for plastics is causing serious global environmental problems. Massive discharges of expanded polystyrene (EPS) are thought to be primarily responsible for the increased white pollution. Waste EPS has received wide attention in the development of innovative products. White light-emitting diodes pumped by a near-UV chip (n-UV WLEDs) are regarded as a very promising solid-state lighting. The performance of the n-UV WLED is largely determined by the properties of the tricolor luminescence materials. In this work, a blue-emitting polymer film for n-UV WLED applications was developed from waste EPS. First, using waste EPS as a raw material, benzimidazole groups were bonded to PS benzene rings by chemical reactions to obtain modified PS (PS-PBI). Then, a film based on PS-PBI was prepared by a simple solution drop-casting method. The PS-PBI film can emit intense blue light when irradiated with 365 nm light. An n-UV WLED pumped by a 365 nm UV chip was fabricated using PS-PBI film as the blue-emitting layer. The fabricated n-UV WLED shows excellent luminescence properties, such as a bright white light with color coordinates of (0.337, 0.331), a relatively low color temperature (CCT, 5270 K), and an especially high color rendering index (CRI, 93.6). The results prove that the blue-emitting PS-PBI film prepared from waste EPS is a very promising candidate for n-UV WLED applications. The strategy of converting waste EPS into a high-value-added blue-emitting film in this work provides a convenient and feasible approach for upcycling waste EPS, achieving significant environmental and economic benefits.

摘要

塑料的广泛应用和持续需求正引发严重的全球环境问题。大量发泡聚苯乙烯(EPS)的排放被认为是白色污染加剧的主要原因。废弃EPS在创新产品开发中受到广泛关注。由近紫外芯片泵浦的白光发光二极管(n-UV WLEDs)被视为一种非常有前途的固态照明器件。n-UV WLED的性能在很大程度上取决于三色发光材料的性能。在这项工作中,从废弃EPS开发了一种用于n-UV WLED应用的蓝色发光聚合物薄膜。首先,以废弃EPS为原料,通过化学反应将苯并咪唑基团键合到PS苯环上,得到改性PS(PS-PBI)。然后,通过简单的溶液滴铸法制备了基于PS-PBI的薄膜。PS-PBI薄膜在365 nm光照射下能发出强烈的蓝光。以PS-PBI薄膜作为蓝色发光层制备了由365 nm紫外芯片泵浦的n-UV WLED。制备的n-UV WLED表现出优异的发光性能,如色坐标为(0.337, 0.331)的亮白光、相对较低的色温(CCT,5270 K)以及特别高的显色指数(CRI,93.6)。结果证明,由废弃EPS制备的蓝色发光PS-PBI薄膜是n-UV WLED应用中非常有前途的候选材料。这项工作中将废弃EPS转化为高附加值蓝色发光薄膜的策略为废弃EPS的升级回收提供了一种方便可行的方法,并实现了显著的环境和经济效益。

https://cdn.ncbi.nlm.nih.gov/pmc/blobs/b561/10747055/c8f26e4addfb/polymers-15-04693-g001.jpg

文献检索

告别复杂PubMed语法,用中文像聊天一样搜索,搜遍4000万医学文献。AI智能推荐,让科研检索更轻松。

立即免费搜索

文件翻译

保留排版,准确专业,支持PDF/Word/PPT等文件格式,支持 12+语言互译。

免费翻译文档

深度研究

AI帮你快速写综述,25分钟生成高质量综述,智能提取关键信息,辅助科研写作。

立即免费体验