Suppr超能文献

新诊断癌症患儿中生长分化因子15(GDF15)水平升高。

Growth differentiation factor 15 (GDF15) elevation in children with newly diagnosed cancer.

作者信息

Runco Daniel V, DiMeglio Linda A, Vanderpool Charles P, Han Yan, Daggy Joanne, Kelley Mary M, Mikesell Raya, Zimmers Teresa A

机构信息

Department of Pediatrics, Riley Hospital for Children at Indiana University Health, Indianapolis, IN, United States.

Division of Pediatric Hematology/Oncology, Department of Pediatrics, Indiana University School of Medicine, Indianapolis, IN, United States.

出版信息

Front Oncol. 2023 Dec 11;13:1295228. doi: 10.3389/fonc.2023.1295228. eCollection 2023.

Abstract

BACKGROUND

Growth differentiation factor 15 (GDF15), an inflammatory marker and mediator of adult cancer cachexia, remains largely unexplored in children. GDF15 increases nausea, vomiting, and anorexia in cancer and contributes to malnutrition, with the potential to be a cachexia therapeutic target. No studies have examined GDF15 in children with newly diagnosed cancer. Our pilot study compares GDF15 in children with newly diagnosed cancer to age- and sex-matched controls and correlates levels with anthropometric measurements and quality of life (QOL).

METHODS

Children with newly diagnosed cancer aged 2-21 years were enrolled with serum GDF15 ELISA, anthropometric measures [height, weight, and mid-upper arm circumference (MUAC)], and QOL assessments (using PedsQL™ Core and Gastrointestinal Modules), which were collected at baseline and repeated 3 months later. Serum GDF15 levels were obtained from age- and sex-matched controls for comparison.

RESULTS

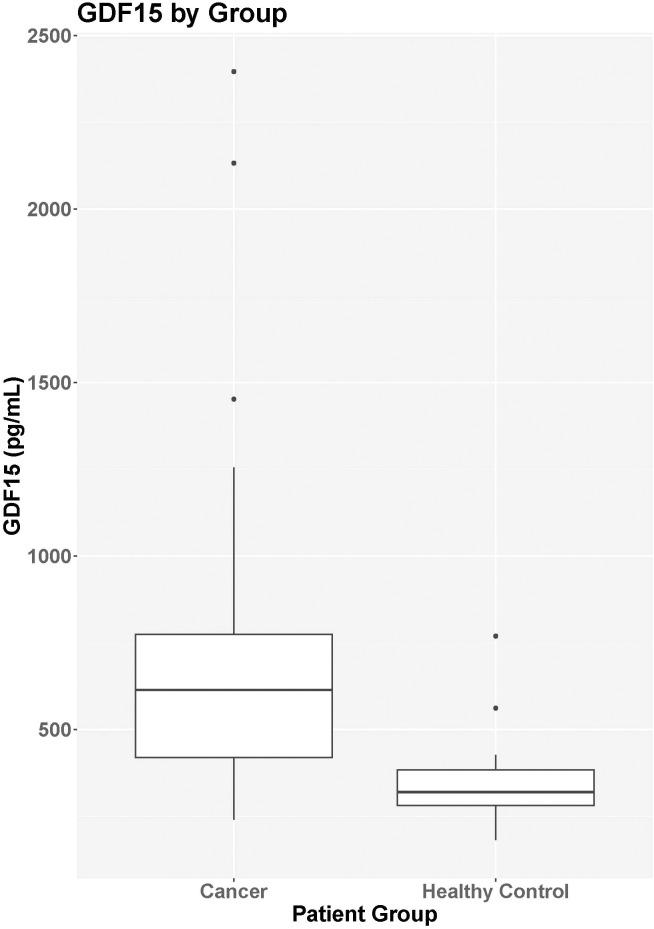
A total of 57 participants enrolled (N=30, cancer group; N=27, control group) with a median age of 8.8 years (IQR 5.6-15.9 years). The participants were primarily male (54.4%), white (82.5%), and non-Hispanic (82.5%). Cancer diagnoses included acute lymphoblastic leukemia (N=8), lymphoma (N=8), neuroblastoma (N=5), soft tissue tumors (N=4), acute myeloid leukemia (N=2), and single participants with brain, kidney, and bone tumors. Baseline GDF15 was higher in the cancer cohort compared to the control cohort (median=614.6pg/mL and 320.5pg/mL, respectively; p<0.001). When examining participants with evaluable baseline and 3-month follow-up GDF15 levels (N=18), GDF15 was not statistically different (median=657.1pg/mL and 675.3pg/mL, respectively; p=0.702). A total of 13 of the 30 participants and 21 caregivers completed the PedsQL™ Core and Gastrointestinal symptom modules. QOL scores did not differ significantly at 3-month follow-up compared to baseline, but diarrhea worsened (p=0.017). Median participant response for diarrhea at baseline was 92.9 (IQR=92.9-96.4; N=13), which was significantly better than the follow-up (median=78.6; IQR= 71.4-92.9; p=0.017). There were no correlations between change in height, weight, or MUAC and change in GDF15 levels (p=0.351, 0.920, and 0.269 respectively).

CONCLUSION

GDF15 was elevated in children with cancer at diagnosis compared to controls but did not correlate with anthropometric measurements or QOL. This pilot study will inform future prospective studies to better describe the natural history of GDF15 and its role in cachexia and as a potential therapeutic target.

摘要

背景

生长分化因子15(GDF15)是一种炎症标志物,也是成人癌症恶病质的介质,在儿童中仍未得到充分研究。GDF15会增加癌症患者的恶心、呕吐和厌食症状,并导致营养不良,有可能成为恶病质的治疗靶点。尚无研究对新诊断癌症儿童的GDF15进行检测。我们的初步研究比较了新诊断癌症儿童与年龄和性别匹配的对照组的GDF15水平,并将其水平与人体测量指标和生活质量(QOL)相关联。

方法

纳入年龄在2至21岁之间的新诊断癌症儿童,进行血清GDF15酶联免疫吸附测定(ELISA)、人体测量指标[身高、体重和上臂中部周长(MUAC)]以及QOL评估(使用儿童生活质量量表核心版和胃肠模块),这些指标在基线时收集,并在3个月后重复收集。从年龄和性别匹配的对照组获取血清GDF15水平用于比较。

结果

共纳入57名参与者(癌症组30名;对照组27名),中位年龄为8.8岁(四分位间距5.6 - 15.9岁)。参与者主要为男性(54.4%)、白人(82.5%)和非西班牙裔(82.5%)。癌症诊断包括急性淋巴细胞白血病(8例)、淋巴瘤(8例)神经母细胞瘤(5例)、软组织肿瘤(4例)、急性髓系白血病(2例),以及分别有1例脑肿瘤、肾肿瘤和骨肿瘤患者。癌症队列的基线GDF15水平高于对照组(中位数分别为614.6pg/mL和320.5pg/mL;p<0.001)。在对具有可评估基线和3个月随访GDF15水平的参与者(18例)进行检查时,GDF15无统计学差异(中位数分别为657.1pg/mL和675.3pg/mL;p = 0.702)。30名参与者中的13名以及21名护理人员完成了儿童生活质量量表核心版和胃肠症状模块。与基线相比,3个月随访时QOL评分无显著差异,但腹泻症状加重(p = 0.017)。参与者基线时腹泻的中位反应为92.9(四分位间距 = 92.9 - 96.4;n = 13),显著优于随访时(中位数 = 78.6;四分位间距 = 71.4 - 92.9;p = 0.017)。身高、体重或MUAC的变化与GDF15水平的变化之间无相关性(分别为p = 0.351、0.920和0.269)。

结论

与对照组相比,癌症儿童在诊断时GDF15水平升高,但与人体测量指标或QOL无关。这项初步研究将为未来的前瞻性研究提供参考,以更好地描述GDF15的自然病程及其在恶病质中的作用以及作为潜在治疗靶点的作用。

https://cdn.ncbi.nlm.nih.gov/pmc/blobs/6942/10749306/ed9745d7729f/fonc-13-1295228-g001.jpg

文献检索

告别复杂PubMed语法,用中文像聊天一样搜索,搜遍4000万医学文献。AI智能推荐,让科研检索更轻松。

立即免费搜索

文件翻译

保留排版,准确专业,支持PDF/Word/PPT等文件格式,支持 12+语言互译。

免费翻译文档

深度研究

AI帮你快速写综述,25分钟生成高质量综述,智能提取关键信息,辅助科研写作。

立即免费体验