Suppr超能文献

进食后短期胰岛素分泌的恢复与 2 型糖尿病患者未来的血糖控制有关。

Short-term recovery of insulin secretion in response to a meal is associated with future glycemic control in type 2 diabetes patients.

机构信息

Department of Diabetes, Metabolism, and Endocrinology, Toyama University Hospital, Toyama, Japan.

Center for Clinical Research, Toyama University Hospital, Toyama, Japan.

出版信息

J Diabetes Investig. 2024 Apr;15(4):437-448. doi: 10.1111/jdi.14129. Epub 2023 Dec 27.

Abstract

AIMS/INTRODUCTION: Endogenous insulin secretion could be recovered by improving hyperglycemia in patients with type 2 diabetes. This study aimed to investigate the association between short-term recovery of insulin secretion during hospitalization and clinical background or future glycemic control in patients with type 2 diabetes.

MATERIALS AND METHODS

A total of 127 patients with type 2 diabetes were included. The recovery of endogenous insulin secretion was determined using the following indices: index A: fasting C-peptide index (CPI) at discharge - fasting CPI on admission; index B: postprandial CPI at discharge - postprandial CPI on admission; and index C: Δ C-peptide immunoreactivity (CPR) (postprandial CPR - fasting CPR) at discharge - ΔCPR on admission. We examined the associations of each index with clinical background and future glycemic control measured by glycosylated hemoglobin and continuous glucose monitoring.

RESULTS

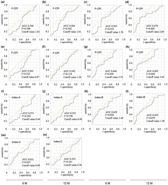
Using index A and B, the age was significantly younger, whereas BMI and visceral fat area were significantly higher in the high-recovery group than in the low-recovery group. Changes in glycosylated hemoglobin levels were significantly greater at 6 and 12 months in the high-recovery group in the analysis of index C. The receiver operating characteristic curve analysis identified the index B and index C as indicators to predict glycosylated hemoglobin <7.0% at 6 months after discharge. Furthermore, index C was positively correlated with the time in the target glucose range, and inversely correlated with the standard deviation of glucose at 3 and 12 months after discharge.

CONCLUSIONS

Short-term recovery of insulin secretion in response to a meal during hospitalization, evaluated with the index-C, might predict future glycemic control.

摘要

目的/引言:改善 2 型糖尿病患者的高血糖可恢复内源性胰岛素分泌。本研究旨在探讨 2 型糖尿病患者住院期间胰岛素分泌短期恢复与临床背景或未来血糖控制的关系。

材料和方法

共纳入 127 例 2 型糖尿病患者。采用以下指标评估内源性胰岛素分泌的恢复情况:指数 A:出院时空腹 C 肽指数(CPI)-入院时空腹 CPI;指数 B:出院时餐后 CPI-入院时餐后 CPI;指数 C:Δ C 肽免疫反应性(CPR)(餐后 CPR-空腹 CPR)出院时-ΔCPR 入院时。我们检查了每个指数与临床背景和未来血糖控制的关联,血糖控制通过糖化血红蛋白和连续血糖监测来衡量。

结果

使用指数 A 和 B,高恢复组的年龄明显较小,而 BMI 和内脏脂肪面积明显较高。在指数 C 的分析中,高恢复组在 6 个月和 12 个月时糖化血红蛋白水平的变化显著更大。接受者操作特征曲线分析确定指数 B 和指数 C 是预测出院后 6 个月糖化血红蛋白<7.0%的指标。此外,指数 C 与目标血糖范围内的时间呈正相关,与出院后 3 个月和 12 个月的血糖标准差呈负相关。

结论

用指数 C 评估住院期间对餐食的胰岛素分泌短期恢复,可能预测未来的血糖控制。

https://cdn.ncbi.nlm.nih.gov/pmc/blobs/1273/10981139/129d9f972c6e/JDI-15-437-g005.jpg

文献AI研究员

20分钟写一篇综述,助力文献阅读效率提升50倍。

立即体验

用中文搜PubMed

大模型驱动的PubMed中文搜索引擎

马上搜索

文档翻译

学术文献翻译模型,支持多种主流文档格式。

立即体验