Ishihama Keisuke, Shimizu Takao, Okamoto Kazuki, Tateyama Akinori, Yamaoka Wakiko, Tsurumaru Risako, Yoshimura Shintaro, Sato Yusuke, Funakubo Hiroshi
School of Materials and Chemical Technology, Tokyo Institute of Technology, Yokohama 226-8502, Japan.
Research Center for Functional Materials, National Institute for Materials Science, Tsukuba 305-0044, Japan.
ACS Appl Mater Interfaces. 2024 Jan 10;16(1):1308-1316. doi: 10.1021/acsami.3c13302. Epub 2023 Dec 28.
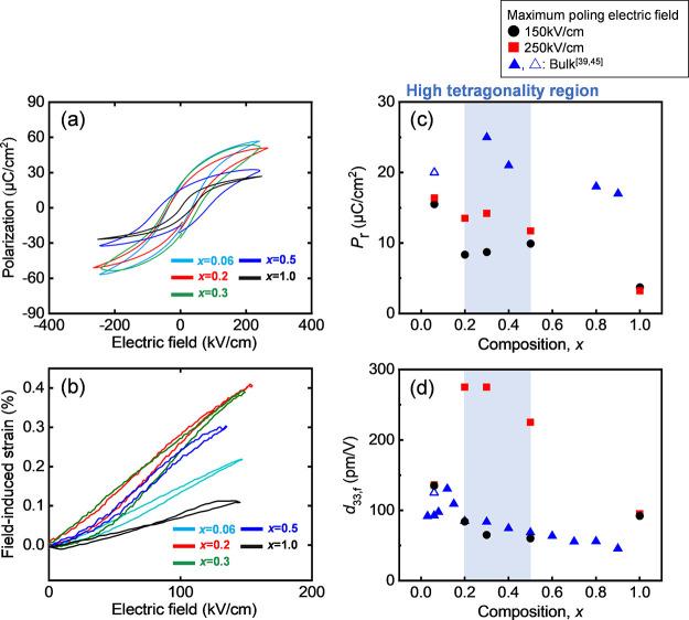
Tetragonal (1-)(Bi,Na)TiO-BaTiO films exhibit enhanced piezoelectric properties due to domain switching over a wide composition range. These properties were observed over a significantly wider composition range than the morphotropic phase boundary (MPB), which typically has a limited composition range of 1-2%. The polarization axis was found to be along the in-plane direction for the tetragonal composition range = 0.06-1.0, attributed to the tensile thermal strain from the substrate during cooling after the film formation. A "two-step increase" in remanent polarization against an applied maximum electric field was observed at the high-field region due to the domain switching, and a very high piezoelectric response (effective value, denoted as ) over 220 pm/V was achieved for a wide composition range of = 0.2-0.5 with high tetragonality, exceeding previously reported values for bulk ceramics. Moreover, a transverse piezoelectric coefficient, , of 19 C/m measured using a cantilever structure was obtained for a composition range of at least 10 atom % (for both = 0.2 and 0.3). This value is the highest reported for Pb-free piezoelectric thin films and is comparable to the best data for Pb-based thin films. Reversible domain switching eliminates the need for conventional MPB compositions, allowing an improvement in the piezoelectric properties over a wider composition range. This strategy could provide a guideline for the development of environmentally acceptable lead-free piezoelectric films with composition-insensitive piezoelectric performance to replace Pb-based materials with MPB composition, such as PZT.
四方相(1 -)(Bi,Na)TiO - BaTiO薄膜由于在很宽的成分范围内发生畴切换而表现出增强的压电性能。与通常成分范围仅为1 - 2%的准同型相界(MPB)相比,在显著更宽的成分范围内观察到了这些性能。对于四方相成分范围x = 0.06 - 1.0,发现极化轴沿面内方向,这归因于成膜后冷却过程中来自衬底的拉伸热应变。在高场区域,由于畴切换,观察到剩余极化相对于施加的最大电场呈“两步增加”,并且对于x = 0.2 - 0.5的宽成分范围,在高四方度下实现了超过220 pm/V的非常高的压电响应(有效d33值,记为d33*),超过了先前报道的块状陶瓷的值。此外,对于至少10原子%的成分范围(对于x = 0.2和0.3两者),使用悬臂结构测量得到横向压电系数d15为19 C/m。该值是无铅压电薄膜报道的最高值,并且与铅基薄膜的最佳数据相当。可逆畴切换消除了对传统MPB成分的需求,从而在更宽的成分范围内改善了压电性能。这种策略可为开发环境可接受的、具有成分不敏感压电性能的无铅压电薄膜提供指导,以取代具有MPB成分的铅基材料,如PZT。