Suppr超能文献

采用100%印刷工艺的软包型电池集成温湿度传感器。

Integrated Temperature-Humidity Sensors for a Pouch-Type Battery Using 100% Printing Process.

作者信息

Oh Gyeongseok, Sim Jae-Ho, Won Mijin, Jung Minhun, Mantry Snigdha Paramita, Kim Dong-Soo

机构信息

Department of Creative Convergence Engineering, Hanbat National University, Yuseong-ku, Daejeon 305-719, Republic of Korea.

Research Institute of Printed Electronics & 3D Printing, Hanbat National University, Yuseng-ku, Daejeon 305-719, Republic of Korea.

出版信息

Sensors (Basel). 2023 Dec 25;24(1):104. doi: 10.3390/s24010104.

Abstract

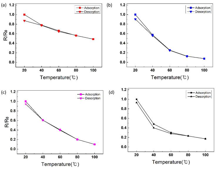
The performance, stability, and lifespan of lithium-ion batteries are influenced by variations in the flow of lithium ions with temperature. In electric vehicles, coolants are generally used to maintain the optimal temperature of the battery, leading to an increasing demand for temperature and humidity sensors that can prevent leakage and short circuits. In this study, humidity and temperature sensors were fabricated on a pouch film of a pouch-type battery. IDE electrodes were screen-printed on the pouch film and humidity- and temperature-sensing materials were printed using a dispenser process. Changes in the capacitance of the printed Ag-CNF film were used for humidity sensing, while changes in the resistance of the printed PEDOT:PSS film were used for temperature sensing. The two sensors were integrated into a single electrode for performance evaluation. The integrated sensor exhibited a response of ΔR ≈ 0.14 to temperature variations from 20 °C to 100 °C with 20% RH humidity as a reference, and a response of ΔC ≈ 2.8 to relative humidity changes from 20% RH to 80% RH at 20 °C. The fabricated integrated sensor is expected to contribute to efficient temperature and humidity monitoring applications in various pouch-type lithium-ion batteries.

摘要

锂离子电池的性能、稳定性和寿命受锂离子流动随温度变化的影响。在电动汽车中,通常使用冷却液来维持电池的最佳温度,这导致对能够防止泄漏和短路的温度和湿度传感器的需求不断增加。在本研究中,在软包型电池的软包膜上制备了湿度和温度传感器。将叉指式电极丝网印刷在软包膜上,并使用点胶工艺印刷湿度和温度传感材料。印刷的Ag-CNF膜电容变化用于湿度传感,而印刷的PEDOT:PSS膜电阻变化用于温度传感。将这两个传感器集成到单个电极中进行性能评估。以20%RH湿度为参考,集成传感器在20°C至100°C的温度变化下表现出ΔR≈0.14的响应,在20°C时相对湿度从20%RH变化到80%RH时表现出ΔC≈2.8的响应。预计所制备的集成传感器将有助于各种软包型锂离子电池中的高效温度和湿度监测应用。

https://cdn.ncbi.nlm.nih.gov/pmc/blobs/fb96/10781144/216845d9715a/sensors-24-00104-g001.jpg

文献AI研究员

20分钟写一篇综述,助力文献阅读效率提升50倍。

立即体验

用中文搜PubMed

大模型驱动的PubMed中文搜索引擎

马上搜索

文档翻译

学术文献翻译模型,支持多种主流文档格式。

立即体验