Suppr超能文献

用于碳化硅模拟的不同原子间势的比较与评估

Comparison and Assessment of Different Interatomic Potentials for Simulation of Silicon Carbide.

作者信息

Yu Jiajie, Dai Xiyue, Li Jiayuan, Luo Anqi, Ouyang Yifang, Zhou Yulu

机构信息

Center on Nanoenergy Research, Guangxi Colleges and Universities Key Laboratory of Blue Energy and Systems Integration, Carbon Peak and Neutrality Science and Technology Development Institute, School of Physical Science & Technology, Guangxi University, Nanning 530004, China.

出版信息

Materials (Basel). 2023 Dec 27;17(1):150. doi: 10.3390/ma17010150.

Abstract

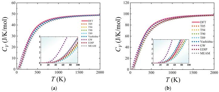
Interatomic potentials play a crucial role in the molecular dynamics (MD) simulation of silicon carbide (SiC). However, the ability of interatomic potentials to accurately describe certain physical properties of SiC has yet to be confirmed, particularly for hexagonal SiC. In this study, the mechanical, thermal, and defect properties of four SiC structures (3C-, 2H-, 4H-, and 6H-SiC) have been calculated with multiple interatomic potentials using the MD method, and then compared with the results obtained from density functional theory and experiments to assess the descriptive capabilities of these interatomic potentials. The results indicate that the T05 potential is suitable for describing the elastic constant and modulus of SiC. Thermal calculations show that the Vashishta, environment-dependent interatomic potential (EDIP), and modified embedded atom method (MEAM) potentials effectively describe the vibrational properties of SiC, and the T90 potential provides a better description of the thermal conductivity of SiC. The EDIP potential has a significant advantage in describing point defect formation energy in hexagonal SiC, and the GW potential is suitable for describing vacancy migration in hexagonal SiC. Furthermore, the T90 and T94 potentials can effectively predict the surface energies of the three low-index surfaces of 3C-SiC, and the Vashishta potential exhibits excellent capabilities in describing stacking fault properties in SiC. This work will be helpful for selecting a potential for SiC simulations.

摘要

原子间势在碳化硅(SiC)的分子动力学(MD)模拟中起着至关重要的作用。然而,原子间势准确描述SiC某些物理性质的能力尚未得到证实,特别是对于六方SiC。在本研究中,使用MD方法用多种原子间势计算了四种SiC结构(3C-、2H-、4H-和6H-SiC)的力学、热学和缺陷性质,然后与从密度泛函理论和实验获得的结果进行比较,以评估这些原子间势的描述能力。结果表明,T05势适用于描述SiC的弹性常数和模量。热学计算表明,Vashishta势、环境依赖原子间势(EDIP)和修正嵌入原子法(MEAM)势有效地描述了SiC的振动性质,而T90势对SiC的热导率提供了更好的描述。EDIP势在描述六方SiC中点缺陷形成能方面具有显著优势,而GW势适用于描述六方SiC中的空位迁移。此外,T90和T94势可以有效地预测3C-SiC三个低指数表面的表面能,Vashishta势在描述SiC中的堆垛层错性质方面表现出优异的能力。这项工作将有助于为SiC模拟选择合适的势。

https://cdn.ncbi.nlm.nih.gov/pmc/blobs/22a4/10779864/7230f361f884/materials-17-00150-g001.jpg

文献AI研究员

20分钟写一篇综述,助力文献阅读效率提升50倍。

立即体验

用中文搜PubMed

大模型驱动的PubMed中文搜索引擎

马上搜索

文档翻译

学术文献翻译模型,支持多种主流文档格式。

立即体验