Suppr超能文献

一种在限饲奶牛中诱导高脂血症模型的特征描述。

Characterization of a model to induce hyperlipidemia in feed-restricted dairy cows.

作者信息

Arshad U, Santos J E P

机构信息

Department of Animal Sciences, DH Barron Reproductive and Perinatal Biology Research Program, University of Florida, Gainesville, FL 32611.

出版信息

JDS Commun. 2023 Aug 19;5(1):77-82. doi: 10.3168/jdsc.2023-0396. eCollection 2024 Jan.

Abstract

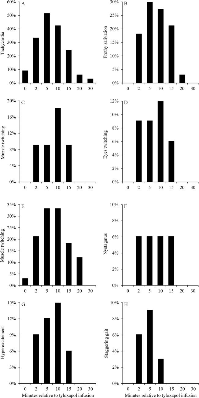
Hepatic lipidosis is a prevalent metabolic disorder, and in vivo models to study intermediary lipid metabolism are needed in dairy cows. Objectives were to apply a method to induce hyperlipidemia and characterize the responses and safety of the intervention in feed-restricted dry Holstein cows at 8 mo of gestation. It was hypothesized that infusion of tyloxapol would induce hyperlipidemia without deleterious effects on health of dairy cows. Pregnant, nonlactating parous Holstein cows (n = 33) at a mean (± standard deviation) of 234 ± 2.2 d of gestation were fed for ad libitum intake on d 1 to 5 and restricted to 41% of the required NE from d 6 to 13. On d 14, when cows were 247 ± 2.2 d of gestation, cows were kept off feed, and received i.v. a 10% solution of tyloxapol at 120 mg/kg body weight to block hydrolysis of triacylglycerols in very-low-density lipoprotein (VLDL) particles. Blood was sampled for 720 min and analyzed for concentrations of triacylglycerol, VLDL cholesterol, and total cholesterol in serum to reflect hepatic secretion or reduced clearance of such metabolites from blood. Rectal temperature, respiration and heart rates, and clinical signs related to potential anaphylaxis were monitored for the first 30 min relative to tyloxapol infusion, and for any abnormal behavior in the subsequent 24 h. Infusion of tyloxapol progressively increased the concentrations of triacylglycerol, VLDL cholesterol, and total cholesterol in serum. Tyloxapol increased rectal temperature by 0.19°C at 30 min after infusion and increased respiration and heart rates in the first 10 min after infusion by 29% and 40%, respectively. Tyloxapol induced tachycardia (heart rate >80 beats/min) in 66.7% (n = 22), frothy salivation in 39.4% (n = 13), muzzle twitching in 15.2% (n = 5), eyes twitching in 12.1% (n = 4), muscle twitching in 48.5% (n = 16), nystagmus in 6.1% (n = 2), signs of hyperexcitement in 18.2% (n = 6), staggering gait in 18.2% (n = 6), and anaphylaxis in 12.1% (n = 4) of the cows; however, all these signs were transient, and cows returned to normal after 20 min of infusion. No other abnormal behavior was observed past 20 min of tyloxapol infusion. None of the cows aborted and gestation length, calf birth weight, and risk of diseases in the first 21 d postpartum did not differ between cows receiving tyloxapol and a companion group that did not receive tyloxapol. Infusion of tyloxapol induced hyperlipidemia in cows with some animals showing transient reactions to the treatment, but without complications to the cow and the offspring. Application of this model can be useful to study intermediary lipid metabolism in dairy cows.

摘要

肝脏脂肪变性是一种常见的代谢紊乱疾病,奶牛需要体内模型来研究脂质中间代谢。本研究旨在应用一种方法诱导高脂血症,并描述该干预措施对妊娠8个月的限饲干奶期荷斯坦奶牛的反应及安全性。研究假设为,输注泰洛沙泊可诱导高脂血症,且对奶牛健康无有害影响。将平均妊娠天数为234±2.2天的怀孕、非泌乳经产荷斯坦奶牛(n = 33)在第1至5天自由采食,从第6至13天限制采食至所需净能的41%。在第14天,即奶牛妊娠247±2.2天时,停止给奶牛喂食,并静脉注射120 mg/kg体重的10%泰洛沙泊溶液,以阻断极低密度脂蛋白(VLDL)颗粒中三酰甘油的水解。采集血样720分钟,分析血清中三酰甘油、VLDL胆固醇和总胆固醇的浓度,以反映肝脏分泌或此类代谢产物从血液中清除减少的情况。在输注泰洛沙泊后的前30分钟监测直肠温度、呼吸和心率以及与潜在过敏反应相关的临床症状,并在随后的24小时内监测任何异常行为。输注泰洛沙泊使血清中三酰甘油、VLDL胆固醇和总胆固醇的浓度逐渐升高。输注泰洛沙泊后30分钟直肠温度升高0.19°C,输注后前10分钟呼吸和心率分别增加29%和40%。泰洛沙泊使66.7%(n = 22)的奶牛出现心动过速(心率>80次/分钟),39.4%(n = 13)的奶牛出现流泡沫唾液,15.2%(n = 5)的奶牛出现口鼻抽搐,12.1%(n = 4)的奶牛出现眼睛抽搐,48.5%(n = 16)的奶牛出现肌肉抽搐,6.1%(n = 2)的奶牛出现眼球震颤,18.2%(n = 6)的奶牛出现兴奋过度迹象,18.2%(n = 6)的奶牛出现步态蹒跚,12.1%(n = 4)的奶牛出现过敏反应;然而,所有这些症状都是短暂的,输注20分钟后奶牛恢复正常。泰洛沙泊输注20分钟后未观察到其他异常行为。没有奶牛流产,接受泰洛沙泊的奶牛与未接受泰洛沙泊的对照组奶牛在妊娠时长、犊牛出生体重以及产后前21天的疾病风险方面没有差异。输注泰洛沙泊可诱导奶牛高脂血症,一些动物对该治疗表现出短暂反应,但对奶牛及其后代无并发症。该模型的应用有助于研究奶牛的脂质中间代谢。

https://cdn.ncbi.nlm.nih.gov/pmc/blobs/238c/10785251/3b0f0175d8ac/fx1.jpg

文献检索

告别复杂PubMed语法,用中文像聊天一样搜索,搜遍4000万医学文献。AI智能推荐,让科研检索更轻松。

立即免费搜索

文件翻译

保留排版,准确专业,支持PDF/Word/PPT等文件格式,支持 12+语言互译。

免费翻译文档

深度研究

AI帮你快速写综述,25分钟生成高质量综述,智能提取关键信息,辅助科研写作。

立即免费体验