Suppr超能文献

加利福尼亚州和伊利诺伊州恢复医疗补助牙科福利后的晚期口腔癌检测

Late-Stage Oral Cancer Detection After California and Illinois Restored Medicaid Dental Benefits.

作者信息

Semprini Jason T

机构信息

Department of Epidemology University of Iowa College of Public Health Iowa City Iowa USA.

出版信息

OTO Open. 2024 Jan 16;8(1):e111. doi: 10.1002/oto2.111. eCollection 2024 Jan-Mar.

Abstract

OBJECTIVE

Previous research found an association between California's Medicaid dental coverage and oral cancer detection. However, this relationship has yet to be explored in other states or by subgroup populations.

STUDY DESIGN

In addition to controlling for sociodemographic and tumor characteristics, this study implemented a traditional difference-in-differences design to compare distant-stage diagnosis trends in states restoring Medicaid dental benefits (California [CA] and Illinois [IL]) with trends in states with constant Medicaid dental benefits.

SETTING

This retrospective, observational study analyzed oral cavity and pharynx cancer case data from The Surveillance, Epidemiology, and End Results program (2004-2017).

METHODS

The outcome was a binary variable indicating whether a patient was diagnosed at a distant stage. Subgroup analyses were conducted by state, race/ethnic group, sex, age, and county-level household income.

RESULTS

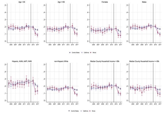
The sample included 109,997 adults diagnosed with cancer of the oral cavity and pharynx. Restoring Medicaid dental benefits was associated with a statistically significant 2.7%-point decline in the probability of a distant-stage oral cancer diagnosis. This estimate represented a 14% relative change from baseline rates. Results were consistent for CA and IL and by county-level median income. Estimates were significantly larger for adults under age 65, males, and adults identifying as Hispanic; non-Hispanic Black; American Indian; or Asian American or Pacific Islander.

CONCLUSION

Restoring Medicaid dental coverage improved early detection in both CA and IL, with the greatest reductions in distant-stage diagnoses occurring in younger adults, males, and minoritized racial/ethnic groups. Future research should investigate whether earlier detection reduces oral cancer mortality disparities.

摘要

目的

先前的研究发现加利福尼亚州的医疗补助牙科保险与口腔癌检测之间存在关联。然而,这种关系尚未在其他州或亚组人群中进行探索。

研究设计

除了控制社会人口统计学和肿瘤特征外,本研究采用传统的差异-in-差异设计,比较恢复医疗补助牙科福利的州(加利福尼亚州[CA]和伊利诺伊州[IL])与医疗补助牙科福利不变的州的晚期诊断趋势。

背景

这项回顾性观察研究分析了监测、流行病学和最终结果计划(2004 - 2017年)中的口腔和咽癌病例数据。

方法

结果是一个二元变量,表明患者是否被诊断为晚期。按州、种族/族裔群体、性别、年龄和县级家庭收入进行亚组分析。

结果

样本包括109,997名被诊断患有口腔和咽癌的成年人。恢复医疗补助牙科福利与晚期口腔癌诊断概率在统计学上显著下降2.7个百分点相关。这一估计代表了相对于基线率的14%的相对变化。加利福尼亚州和伊利诺伊州以及县级中位数收入的结果是一致的。对于65岁以下的成年人、男性以及自我认定为西班牙裔、非西班牙裔黑人、美国印第安人或亚裔美国人或太平洋岛民的成年人,估计值显著更大。

结论

恢复医疗补助牙科保险在加利福尼亚州和伊利诺伊州都改善了早期检测,晚期诊断的最大降幅出现在年轻人、男性和少数族裔种族/族裔群体中。未来的研究应调查早期检测是否能减少口腔癌死亡率差异。

https://cdn.ncbi.nlm.nih.gov/pmc/blobs/b641/10790188/b8178febdd0b/OTO2-8-e111-g002.jpg

文献检索

告别复杂PubMed语法,用中文像聊天一样搜索,搜遍4000万医学文献。AI智能推荐,让科研检索更轻松。

立即免费搜索

文件翻译

保留排版,准确专业,支持PDF/Word/PPT等文件格式,支持 12+语言互译。

免费翻译文档

深度研究

AI帮你快速写综述,25分钟生成高质量综述,智能提取关键信息,辅助科研写作。

立即免费体验