Suppr超能文献

废水中曙红B在制备的多孔阴离子交换膜上的吸附

Adsorption of Eosin B from Wastewater onto the Prepared Porous Anion Exchange Membrane.

作者信息

Khan Muhammad Imran, Elboughdiri Noureddine, Shanableh Abdallah, Manzoor Asma, Manzoor Suryyia, Farooq Nosheen, Suleman Jannat, Sarwar Hadia, Benaissa Mhamed, Benguerba Yacine

机构信息

Research Institute of Sciences and Engineering (RISE), University of Sharjah, Sharjah 27272, United Arab Emirates.

Chemical Engineering Department, College of Engineering, University of Ha'il, P.O. Box 2440, Ha'il 81441, Saudi Arabia.

出版信息

ACS Omega. 2024 Jan 2;9(2):2422-2431. doi: 10.1021/acsomega.3c06827. eCollection 2024 Jan 16.

Abstract

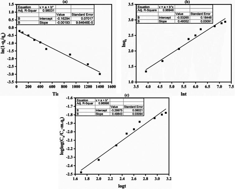
This research describes the fabrication of the porous trimethylamine (TMA)-grafted anion exchange membrane (AEM) over a phase inversion process. The synthesis of the generated AEM was verified using Fourier transform infrared (FTIR) spectroscopy. The fabricated porous AEM showed 240% water uptake (W), 1.45 mg/g ion exchange capacity (IEC), and a 9.0% linear expansion ratio (LER) at 25 °C. It exhibited a porous structure and higher thermal stability. It was utilized to remove eosin B (EB) from wastewater via the process of adsorption. The adsorption capacity of EB increased with time and the starting concentration of EB while decreasing with temperature and the AEM dosage. Adsorption isotherm investigation results showed that EB adsorption onto the porous AEM followed the Langmuir isotherm because the value of correlation coefficient ( = 0.992) was close to unity. Because the correlation coefficient was close to one, it was determined through adsorption kinetic experiments that the adsorption of EB on the produced porous AEM was suitable for a pseudo-second-order model. Thermodynamic study about process of EB adsorption on the porous AEM revealed that there was an exothermic (Δ° = -16.60 kJ/mol) and spontaneous process.

摘要

本研究描述了通过相转化过程制备多孔三甲胺(TMA)接枝阴离子交换膜(AEM)的方法。使用傅里叶变换红外(FTIR)光谱对生成的AEM的合成进行了验证。制备的多孔AEM在25℃下显示出240%的吸水率(W)、1.45mg/g的离子交换容量(IEC)和9.0%的线性膨胀率(LER)。它呈现出多孔结构和更高的热稳定性。它被用于通过吸附过程从废水中去除曙红B(EB)。EB的吸附容量随时间和EB的起始浓度增加而增加,同时随温度和AEM用量降低。吸附等温线研究结果表明,EB在多孔AEM上的吸附遵循朗缪尔等温线,因为相关系数(=0.992)的值接近1。由于相关系数接近1,通过吸附动力学实验确定,EB在制备的多孔AEM上的吸附适合拟二级模型。关于EB在多孔AEM上吸附过程的热力学研究表明,这是一个放热(Δ°=-16.60kJ/mol)且自发的过程。

https://cdn.ncbi.nlm.nih.gov/pmc/blobs/1e01/10795118/b90483af6584/ao3c06827_0001.jpg

文献AI研究员

20分钟写一篇综述,助力文献阅读效率提升50倍。

立即体验

用中文搜PubMed

大模型驱动的PubMed中文搜索引擎

马上搜索

文档翻译

学术文献翻译模型,支持多种主流文档格式。

立即体验