Suppr超能文献

优化低模板 DNA 分析的分析阈值:多实验室阴性对照的见解。

Optimizing Analytical Thresholds for Low-Template DNA Analysis: Insights from Multi-Laboratory Negative Controls.

机构信息

Department of Forensic Genetics, West China School of Basic Medical Sciences and Forensic Medicine, Sichuan University, Chengdu 610041, China.

Department of Immunology, West China School of Basic Medical Sciences and Forensic Medicine, Sichuan University, Chengdu 610041, China.

出版信息

Genes (Basel). 2024 Jan 18;15(1):117. doi: 10.3390/genes15010117.

Abstract

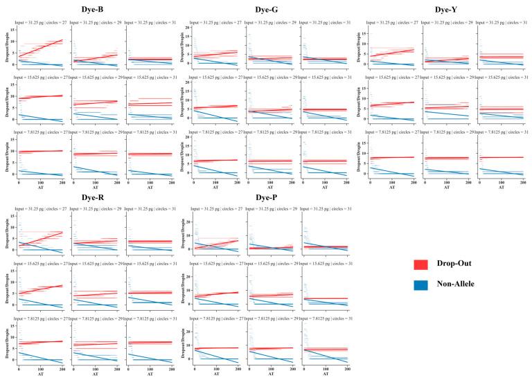
When analyzing challenging samples, such as low-template DNA, analysts aim to maximize information while minimizing noise, often by adjusting the analytical threshold (AT) for optimal results. A potential approach involves calculating the AT based on the baseline signal distribution in electrophoresis results. This study investigates the impact of reagent kits, testing quarters, environmental conditions, and amplification cycles on baseline signals using historical records and experimental data on low-template DNA. Variations in these aspects contribute to differences in baseline signal patterns. Analysts should remain vigilant regarding routine instrument maintenance and reagent replacement, as these may affect baseline signals. Prompt analysis of baseline status and tailored adjustments to ATs under specific laboratory conditions are advised. A comparative analysis of published methods for calculating the optimal AT from a negative signal distribution highlighted the efficiency of utilizing baseline signals to enhance forensic genetic analysis, with the exception of extremely low-template samples and high-amplification cycles. Moreover, a user-friendly program for real-time analysis was developed, enabling prompt adjustments to ATs based on negative control profiles. In conclusion, this study provides insights into baseline signals, aiming to enhance genetic analysis accuracy across diverse laboratories. Practical recommendations are offered for optimizing ATs in forensic DNA analysis.

摘要

在分析具有挑战性的样本时,例如低模板 DNA,分析人员旨在最大限度地获取信息,同时最小化噪声,通常通过调整分析阈值 (AT) 以获得最佳结果。一种潜在的方法是根据电泳结果中的基线信号分布来计算 AT。本研究使用低模板 DNA 的历史记录和实验数据,调查了试剂试剂盒、测试季度、环境条件和扩增循环对基线信号的影响。这些方面的变化导致了基线信号模式的差异。分析人员应密切关注常规仪器维护和试剂更换,因为这可能会影响基线信号。建议在特定的实验室条件下,及时分析基线状态并根据需要调整 AT。对从负信号分布中计算最佳 AT 的已发表方法进行比较分析,突出了利用基线信号来增强法医遗传学分析的效率,除了极低模板样本和高扩增循环外。此外,还开发了一个用于实时分析的用户友好型程序,能够根据阴性对照谱图及时调整 AT。总之,本研究深入探讨了基线信号,旨在提高不同实验室的遗传分析准确性。为法医 DNA 分析中优化 AT 提供了实用建议。

https://cdn.ncbi.nlm.nih.gov/pmc/blobs/5fd7/10815623/7e6f4789a8a5/genes-15-00117-g001.jpg

文献AI研究员

20分钟写一篇综述,助力文献阅读效率提升50倍。

立即体验

用中文搜PubMed

大模型驱动的PubMed中文搜索引擎

马上搜索

文档翻译

学术文献翻译模型,支持多种主流文档格式。

立即体验