Suppr超能文献

严重受损的冻伤骨骼肌显示出功能障碍、修复不足以及人类干细胞应用的机会。

Severely Damaged Freeze-Injured Skeletal Muscle Reveals Functional Impairment, Inadequate Repair, and Opportunity for Human Stem Cell Application.

作者信息

Fioretti Daniela, Ledda Mario, Iurescia Sandra, Carletti Raffaella, Di Gioia Cira, Lolli Maria Grazia, Marchese Rodolfo, Lisi Antonella, Rinaldi Monica

机构信息

Department Biomedical Sciences, Institute of Translational Pharmacology, National Research Council, Area di Ricerca Roma2 Tor Vergata, 00133 Rome, Italy.

Department of Translational and Precision Medicine, Sapienza University of Rome, 00185 Rome, Italy.

出版信息

Biomedicines. 2023 Dec 21;12(1):30. doi: 10.3390/biomedicines12010030.

Abstract

BACKGROUND

The regeneration of severe traumatic muscle injuries is an unsolved medical need that is relevant for civilian and military medicine. In this work, we produced a critically sized nonhealing muscle defect in a mouse model to investigate muscle degeneration/healing phases.

MATERIALS AND METHODS

We caused a freeze injury (FI) in the biceps femoris of C57BL/6N mice. From day 1 to day 25 post-injury, we conducted histological/morphometric examinations, an analysis of the expression of genes involved in inflammation/regeneration, and an in vivo functional evaluation.

RESULTS

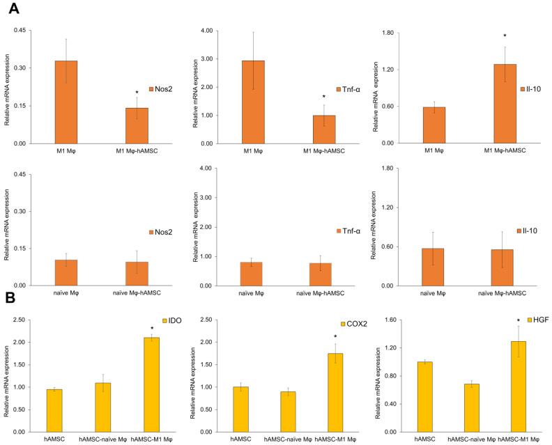
We found that FI activates cytosolic DNA sensing and inflammatory responses. Persistent macrophage infiltration, the prolonged expression of eMHC, the presence of centrally nucleated myofibers, and the presence of PAX7+ satellite cells at late time points and with chronic physical impairment indicated inadequate repair. By looking at stem-cell-based therapeutic protocols of muscle repair, we investigated the crosstalk between M1-biased macrophages and human amniotic mesenchymal stem cells (hAMSCs) in vitro. We demonstrated their reciprocal paracrine effects where hAMSCs induced a shift of M1 macrophages into an anti-inflammatory phenotype, and M1 macrophages promoted an increase in the expression of hAMSC immunomodulatory factors.

CONCLUSIONS

Our findings support the rationale for the future use of our injury model to exploit the full potential of in vivo hAMSC transplantation following severe traumatic injuries.

摘要

背景

严重创伤性肌肉损伤的再生是民用和军事医学中尚未解决的医学需求。在本研究中,我们在小鼠模型中制造了一个临界尺寸的不愈合肌肉缺损,以研究肌肉变性/愈合阶段。

材料与方法

我们对C57BL/6N小鼠的股二头肌造成冻伤(FI)。在损伤后第1天至第25天,我们进行了组织学/形态学检查、参与炎症/再生的基因表达分析以及体内功能评估。

结果

我们发现FI激活了胞质DNA传感和炎症反应。持续的巨噬细胞浸润、eMHC的延长表达、中央有核肌纤维的存在以及晚期和慢性身体损伤时PAX7+卫星细胞的存在表明修复不足。通过研究基于干细胞的肌肉修复治疗方案,我们在体外研究了M1偏向性巨噬细胞与人羊膜间充质干细胞(hAMSCs)之间的相互作用。我们证明了它们的相互旁分泌作用,其中hAMSCs诱导M1巨噬细胞向抗炎表型转变,而M1巨噬细胞促进hAMSC免疫调节因子表达增加。

结论

我们的研究结果支持未来使用我们的损伤模型来充分发挥严重创伤后体内hAMSC移植潜力的理论依据。

https://cdn.ncbi.nlm.nih.gov/pmc/blobs/d8a4/10813063/364bc4285de9/biomedicines-12-00030-g001.jpg

文献AI研究员

20分钟写一篇综述,助力文献阅读效率提升50倍。

立即体验

用中文搜PubMed

大模型驱动的PubMed中文搜索引擎

马上搜索

文档翻译

学术文献翻译模型,支持多种主流文档格式。

立即体验