Division of Cardiology, Department of Internal Medicine, Korea University College of Medicine, Korea University Anam Hospital, 73 Goryeodae-ro, Seongbuk-gu, 02841, Seoul, Republic of Korea.
Department of Statistics and Actuarial Science, Soongsil University, Seoul, Republic of Korea.
Cardiovasc Diabetol. 2024 Jan 28;23(1):46. doi: 10.1186/s12933-024-02130-4.
Underweight imposes significant burden on cardiovascular outcomes in patients with diabetes mellitus. However, less is known about the impact of serial change in body weight status measured as body mass index (BMI) on the risk of sudden cardiac arrest (SCA). This study investigated the association between SCA and temporal change in BMI among patients with diabetes mellitus.
Based on Korean National Health Insurance Service database, participants with diabetes mellitus who underwent health examination between 2009 and 2012 and had prior health examination data (four years ago, 2005-2008) were retrospectively analyzed. BMI was measured at baseline (2005-2008) and 4-year follow-up health examination (2009-2012). Patients were classified in four groups according to the body weight status and its temporal change: sustained non-underweight, sustained underweight, previous underweight, and newly developed underweight. Primary outcome was defined as occurrence of SCA.
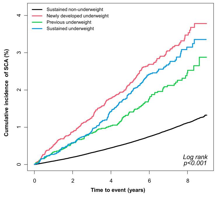
A total of 1,355,746 patients with diabetes mellitus were included for analysis, and SCA occurred in 12,554 cases. SCA was most common in newly developed underweight (incidence rate = 4.45 per 1,000 person-years), followed by sustained underweight (incidence rate = 3.90), previous underweight (incidence rate = 3.03), and sustained non-underweight (incidence rate = 1.34). Adjustment of covariates resulted highest risk of SCA in sustained underweight (adjusted hazard ratio = 2.60, 95% confidence interval [2.25-3.00], sustained non-underweight as a reference), followed by newly developed underweight (2.42, [2.15-2.74]), and previous underweight (2.12, [1.77-2.53]).
In diabetes mellitus, sustained underweight as well as decrease in body weight during 4-year follow-up imposes substantial risk on SCA. Recovery from underweight over time had relatively lower, but yet increased risk of SCA. Both underweight and dynamic decrease in BMI can be associated with increased risk of SCA.
体重不足会对糖尿病患者的心血管结局造成重大影响。然而,对于体重指数(BMI)连续变化对心搏骤停(SCA)风险的影响,人们了解较少。本研究调查了糖尿病患者 SCA 与 BMI 时间变化之间的关系。
基于韩国国家健康保险服务数据库,回顾性分析了 2009 年至 2012 年间接受健康检查且有既往健康检查数据(四年前,2005-2008 年)的糖尿病患者。在基线(2005-2008 年)和 4 年随访健康检查(2009-2012 年)时测量 BMI。根据体重状况及其时间变化,将患者分为四组:持续非体重不足、持续体重不足、既往体重不足和新发生体重不足。主要结局定义为 SCA 的发生。
共纳入 1355746 例糖尿病患者进行分析,有 12554 例发生 SCA。新发生体重不足者 SCA 发生率最高(发生率为 4.45/1000 人年),其次是持续体重不足(发生率为 3.90)、既往体重不足(发生率为 3.03)和持续非体重不足(发生率为 1.34)。调整协变量后,持续体重不足的 SCA 风险最高(调整后的危险比=2.60,95%置信区间[2.25-3.00],以持续非体重不足为参照),其次是新发生体重不足(2.42,[2.15-2.74])和既往体重不足(2.12,[1.77-2.53])。
在糖尿病患者中,持续体重不足以及 4 年随访期间体重下降会显著增加 SCA 的风险。随着时间的推移,体重从不足中恢复过来,虽然风险相对较低,但 SCA 的风险仍会增加。体重不足和 BMI 的动态下降都与 SCA 风险的增加有关。