• 文献检索
  • 文档翻译
  • 深度研究
  • 学术资讯
  • Suppr Zotero 插件Zotero 插件
  • 邀请有礼
  • 套餐&价格
  • 历史记录
应用&插件
Suppr Zotero 插件Zotero 插件浏览器插件Mac 客户端Windows 客户端微信小程序
定价
高级版会员购买积分包购买API积分包
服务
文献检索文档翻译深度研究API 文档MCP 服务
关于我们
关于 Suppr公司介绍联系我们用户协议隐私条款
关注我们

Suppr 超能文献

核心技术专利:CN118964589B侵权必究
粤ICP备2023148730 号-1Suppr @ 2026

文献检索

告别复杂PubMed语法,用中文像聊天一样搜索,搜遍4000万医学文献。AI智能推荐,让科研检索更轻松。

立即免费搜索

文件翻译

保留排版,准确专业,支持PDF/Word/PPT等文件格式,支持 12+语言互译。

免费翻译文档

深度研究

AI帮你快速写综述,25分钟生成高质量综述,智能提取关键信息,辅助科研写作。

立即免费体验

听力损失婴儿的非语言和语言交流技能发展时间表。

The timeline of non-vocal and vocal communicative skills in infants with hearing loss.

作者信息

Saksida Amanda, Rebesco Roberta, Colombani Arianna, Pintonello Sara, Tonon Eleonora, Santoro Andrea Martina, Orzan Eva

机构信息

Institute for Maternal and Child Health-IRCCS "Burlo Garofolo", Trieste, Italy.

出版信息

Front Pediatr. 2024 Jan 12;11:1209754. doi: 10.3389/fped.2023.1209754. eCollection 2023.

DOI:10.3389/fped.2023.1209754
PMID:38283402
原文链接:https://pmc.ncbi.nlm.nih.gov/articles/PMC10811201/
Abstract

OBJECTIVE

The study investigates what is the link between early verbal and non-vocal abilities, when does predominantly verbal communicative style occur after the intervention with cochlear implants (CI) or hearing aids (HA), and how predictive it is of later linguistic development in deaf and hard of hearing (DHH) infants and children.

METHODS

Cohort: children with moderate-to-profound hearing impairment ( = 49, 20 girls, mean age at HA or CI intervention = 15 months, range: 4-35 months).

MEASURES

Receptive and productive vocabulary at 24 and 36 months and video analysis at 12 months post-intervention. Analysis: Predictive values of total and verbal responses to communicative turns for later vocabulary development were assessed, as well as the relative time course of the development of vocal/verbal communication in DHH children.

RESULTS

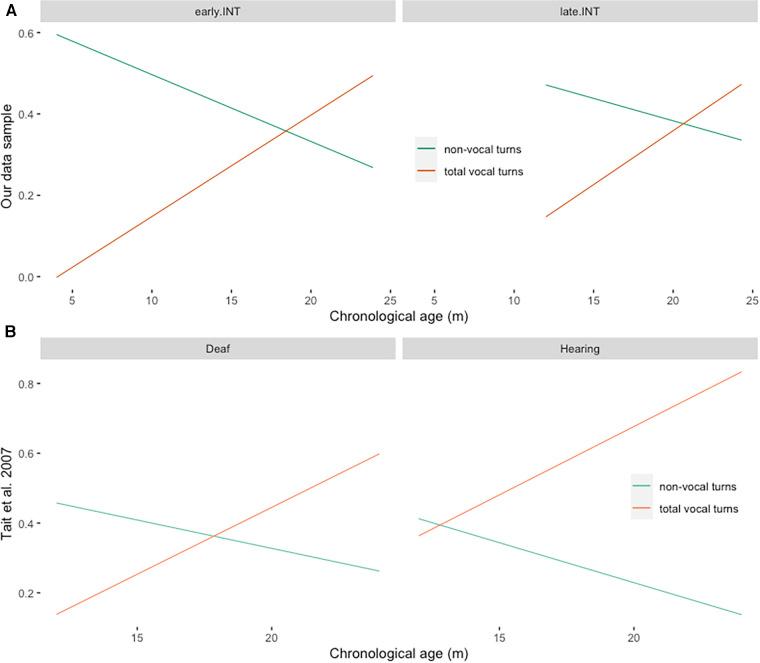
Vocabulary at 24 months is predicted by auditory responses at 12 months, as well as by overall responsiveness before intervention. Non-vocal responses decline and overall verbal responses increase significantly between 6 and 12 months after intervention. The trend is delayed in children with delayed (>12 months of age) treatment with CI or HA.

CONCLUSIONS

Age of intervention affects the development of vocal/verbal communicative style. Language development, in particular, vocabulary growth, can be further stimulated by the enhancement of preverbal (both vocal and non-vocal) communicative skills.

摘要

目的

本研究调查早期语言和非语言能力之间的联系是什么,在接受人工耳蜗植入(CI)或助听器(HA)干预后,主要的语言交流方式何时出现,以及它对聋和重听(DHH)婴幼儿及儿童后期语言发展的预测性如何。

方法

队列:中重度听力障碍儿童(n = 49,20名女孩,HA或CI干预时的平均年龄 = 15个月,范围:4 - 35个月)。

测量

干预后12个月进行视频分析,以及在24个月和36个月时测量接受性和表达性词汇。分析:评估对交流轮次的总体和语言反应对后期词汇发展的预测价值,以及DHH儿童声音/语言交流发展的相对时间进程。

结果

24个月时的词汇量可由12个月时的听觉反应以及干预前的总体反应性预测。干预后6至12个月期间,非语言反应减少,总体语言反应显著增加。CI或HA治疗延迟(>12个月龄)的儿童中该趋势出现延迟。

结论

干预年龄影响声音/语言交流方式的发展。特别是语言发展,尤其是词汇增长,可以通过提高语言前(包括有声和无声)交流技能来进一步促进。

https://cdn.ncbi.nlm.nih.gov/pmc/blobs/b1ef/10811201/bff62aec3f00/fped-11-1209754-g004.jpg
https://cdn.ncbi.nlm.nih.gov/pmc/blobs/b1ef/10811201/13b82adb2d6d/fped-11-1209754-g001.jpg
https://cdn.ncbi.nlm.nih.gov/pmc/blobs/b1ef/10811201/00ab44cddcaa/fped-11-1209754-g002.jpg
https://cdn.ncbi.nlm.nih.gov/pmc/blobs/b1ef/10811201/9ad74d36a07d/fped-11-1209754-g003.jpg
https://cdn.ncbi.nlm.nih.gov/pmc/blobs/b1ef/10811201/bff62aec3f00/fped-11-1209754-g004.jpg
https://cdn.ncbi.nlm.nih.gov/pmc/blobs/b1ef/10811201/13b82adb2d6d/fped-11-1209754-g001.jpg
https://cdn.ncbi.nlm.nih.gov/pmc/blobs/b1ef/10811201/00ab44cddcaa/fped-11-1209754-g002.jpg
https://cdn.ncbi.nlm.nih.gov/pmc/blobs/b1ef/10811201/9ad74d36a07d/fped-11-1209754-g003.jpg
https://cdn.ncbi.nlm.nih.gov/pmc/blobs/b1ef/10811201/bff62aec3f00/fped-11-1209754-g004.jpg

相似文献

1
The timeline of non-vocal and vocal communicative skills in infants with hearing loss.听力损失婴儿的非语言和语言交流技能发展时间表。
Front Pediatr. 2024 Jan 12;11:1209754. doi: 10.3389/fped.2023.1209754. eCollection 2023.
2
Cochlear Implants or Hearing Aids: Speech Perception, Language, and Executive Function Outcomes.人工耳蜗植入或助听器:言语感知、语言和执行功能结果。
Ear Hear. 2023;44(2):411-422. doi: 10.1097/AUD.0000000000001300. Epub 2022 Dec 21.
3
Describing the trajectory of language development in the presence of severe-to-profound hearing loss: a closer look at children with cochlear implants versus hearing aids.描述重度至极重度听力损失儿童的语言发展轨迹:对植入人工耳蜗和使用助听器儿童的更深入观察。
Otol Neurotol. 2010 Oct;31(8):1268-74. doi: 10.1097/MAO.0b013e3181f1ce07.
4
Children with cochlear implants in infancy: predictors of early vocabulary.婴儿期接受人工耳蜗植入的儿童:早期词汇量的预测因素。
Int J Lang Commun Disord. 2018 Jul;53(4):788-798. doi: 10.1111/1460-6984.12383. Epub 2018 Mar 23.
5
Early Pragmatics in Deaf and Hard of Hearing Infants.聋儿和重听婴儿的早期语用学。
Pediatrics. 2020 Nov;146(Suppl 3):S262-S269. doi: 10.1542/peds.2020-0242E.
6
[The development of preverbal communication skills in Chinese deaf children with cochlear implants].
Lin Chuang Er Bi Yan Hou Tou Jing Wai Ke Za Zhi. 2011 Jul;25(13):585-7.
7
Monitoring of Communication Precursors in Extremely Low Birth Weight (ELBW) Newborns by Video Analysis Method: Preliminary Results.通过视频分析方法监测极低出生体重(ELBW)新生儿的沟通先兆:初步结果。
Children (Basel). 2022 Apr 23;9(5):602. doi: 10.3390/children9050602.
8
Muenster Parental Programme empowers parents in communicating with their infant with hearing loss.明斯特家长项目增强了父母与失聪婴儿沟通的能力。
Int J Pediatr Otorhinolaryngol. 2013 Dec;77(12):2023-9. doi: 10.1016/j.ijporl.2013.10.001. Epub 2013 Oct 14.
9
Communication Skills and Communicative Autonomy of Prelinguistic Deaf and Hard-of-Hearing Children: Application of a Video Feedback Intervention.语言前聋儿和重听儿童的沟通技巧与沟通自主性:视频反馈干预的应用
Front Psychol. 2020 Aug 18;11:1983. doi: 10.3389/fpsyg.2020.01983. eCollection 2020.
10
Age at implantation and development of vocal and auditory preverbal skills in implanted deaf children.植入年龄与植入型失聪儿童言语前发声及听觉技能的发展
Int J Pediatr Otorhinolaryngol. 2007 Apr;71(4):603-10. doi: 10.1016/j.ijporl.2006.12.010. Epub 2007 Jan 18.

本文引用的文献

1
The origin of language and relative roles of voice and gesture in early communication development.语言的起源以及声音和手势在早期交际发展中的相对作用。
Infant Behav Dev. 2021 Nov;65:101648. doi: 10.1016/j.infbeh.2021.101648. Epub 2021 Oct 7.
2
Vocal Turn-Taking in Families With Children With and Without Hearing Loss.有听障和无听障儿童的家庭中的言语轮替。
Ear Hear. 2022 May/Jun;43(3):883-898. doi: 10.1097/AUD.0000000000001135.
3
Joint Attention in the Context of Hearing Loss: A Meta-Analysis and Narrative Synthesis.听力损失背景下的联合注意:一项元分析与叙述性综述
J Deaf Stud Deaf Educ. 2021 Dec 16;27(1):1-15. doi: 10.1093/deafed/enab029.
4
Protophones, the precursors to speech, dominate the human infant vocal landscape.原语,言语的先驱,主导着人类婴儿的语音环境。
Philos Trans R Soc Lond B Biol Sci. 2021 Oct 25;376(1836):20200255. doi: 10.1098/rstb.2020.0255. Epub 2021 Sep 6.
5
Assessing Parent Behaviours in Parent-Child Interactions with Deaf and Hard of Hearing Infants Aged 0-3 Years: A Systematic Review.评估0至3岁失聪及听力障碍婴幼儿亲子互动中的家长行为:一项系统综述。
J Clin Med. 2021 Jul 29;10(15):3345. doi: 10.3390/jcm10153345.
6
Social and endogenous infant vocalizations.社会性和内生性婴儿发声
PLoS One. 2020 Aug 5;15(8):e0224956. doi: 10.1371/journal.pone.0224956. eCollection 2020.
7
Exploring Cascading Effects of Multimodal Communication Skills in Infants With Hearing Loss.探索听力损失婴儿多模态沟通技巧的级联效应。
J Deaf Stud Deaf Educ. 2018 Jan 1;23(1):95-105. doi: 10.1093/deafed/enx041.
8
Contingencies Between Infants' Gaze, Vocal, and Manual Actions and Mothers' Object-Naming: Longitudinal Changes From 4 to 9 Months.婴儿的注视、发声和手动动作与母亲物体命名之间的偶联关系:4至9个月的纵向变化
Dev Neuropsychol. 2016 Jul-Dec;41(5-8):342-361. doi: 10.1080/87565641.2016.1274313.
9
What Paves the Way to Conventional Language? The Predictive Value of Babble, Pointing, and Socioeconomic Status.是什么为传统语言铺平了道路?咿呀学语、指物和社会经济地位的预测价值。
Child Dev. 2017 Jan;88(1):156-166. doi: 10.1111/cdev.12671. Epub 2016 Nov 10.
10
Gesture Use in 14-Month-Old Toddlers With Hearing Loss and Their Mothers' Responses.听力损失的14个月大幼儿的手势使用及其母亲的反应。
Am J Speech Lang Pathol. 2016 Nov 1;25(4):519-531. doi: 10.1044/2016_AJSLP-15-0098.