Suppr超能文献

3,4-双羟甲基-2,2,5,5-四乙基吡咯烷-1-氧自由基的吡咯烷和吡咯啉系列亲水性还原抗性自旋标记物。

Hydrophilic Reduction-Resistant Spin Labels of Pyrrolidine and Pyrroline Series from 3,4-Bis-hydroxymethyl-2,2,5,5-tetraethylpyrrolidine-1-oxyl.

机构信息

N. N. Vorozhtsov Novosibirsk Institute of Organic Chemistry SB RAS, Lavrentiev Ave. 9, Novosibirsk 630090, Russia.

Department of Natural Sciences, Novosibirsk State University, Pirogova Str. 1, Novosibirsk 630090, Russia.

出版信息

Int J Mol Sci. 2024 Jan 26;25(3):1550. doi: 10.3390/ijms25031550.

Abstract

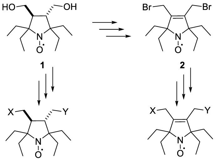
Highly resistant to reduction nitroxides open new opportunities for structural studies of biological macromolecules in their native environment inside living cells and for functional imaging of pH and thiols, enzymatic activity and redox status in living animals. 3,4-Disubstituted nitroxides of 2,2,5,5-tetraethylpyrrolidine and pyrroline series with a functional group for binding to biomolecules and a polar moiety for higher solubility in water and for more rigid attachment via additional coordination to polar sites were designed and synthesized. The EPR spectra, lipophilicities, kinetics of the reduction in ascorbate-containing systems and the decay rates in liver homogenates were measured. The EPR spectra of all 3,4-disubstituted pyrrolidine nitroxides showed additional large splitting on methylene hydrogens of the ethyl groups, while the spectra of similar pyrroline nitroxides were represented with a simple triplet with narrow lines and hyperfine structure of the nitrogen manifolds resolved in oxygen-free conditions. Both pyrrolidine and pyrroline nitroxides demonstrated low rates of reduction with ascorbate, pyrrolidines being a bit more stable than similar pyrrolines. The decay of positively charged nitroxides in the rat liver homogenate was faster than that of neutral and negatively charged radicals, with lipophilicity, rate of reduction with ascorbate and the ring type playing minor role. The EPR spectra of ,-dimethyl-3,4-bis-(aminomethyl)-2,2,5,5-tetraethylpyrrolidine-1-oxyl showed dependence on pH with = 3, Δ = 0.055 mT and Δ = 0.075 mT.

摘要

高度耐还原的氮氧化物为在活细胞内的天然环境中研究生物大分子的结构以及在活体动物中对 pH 值、硫醇、酶活性和氧化还原状态进行功能成像开辟了新的机会。设计并合成了具有结合生物分子的功能基团和极性部分的 2,2,5,5-四乙基吡咯烷和吡咯烷系列的 3,4-二取代氮氧化物,以提高在水中的溶解度和通过与极性位点的额外配位更牢固地连接。测量了 EPR 光谱、亲脂性、含抗坏血酸的体系中的还原动力学以及在肝匀浆中的衰减速率。所有 3,4-二取代吡咯烷氮氧化物的 EPR 光谱在乙基的亚甲基氢上显示出额外的大分裂,而类似吡咯啉氮氧化物的光谱则表现为简单的三重态,线很窄,氮管的超精细结构在无氧条件下得以分辨。吡咯烷和吡咯啉氮氧化物都显示出与抗坏血酸还原的低速率,吡咯烷比类似的吡咯啉略稳定。带正电荷的氮氧化物在大鼠肝匀浆中的衰减速度比中性和带负电荷的自由基快,亲脂性、与抗坏血酸的还原速率以及环的类型的作用较小。,-二甲基-3,4-双-(氨甲基)-2,2,5,5-四乙基吡咯啉-1-氧自由基的 EPR 光谱随 pH 值而变化, = 3 时,Δ = 0.055 mT,Δ = 0.075 mT。

https://cdn.ncbi.nlm.nih.gov/pmc/blobs/0256/10855552/4bdc266d4e4a/ijms-25-01550-sch001.jpg

文献AI研究员

20分钟写一篇综述,助力文献阅读效率提升50倍。

立即体验

用中文搜PubMed

大模型驱动的PubMed中文搜索引擎

马上搜索

文档翻译

学术文献翻译模型,支持多种主流文档格式。

立即体验