Suppr超能文献

309例癌胚抗原、神经元特异性烯醇化酶及细胞角蛋白19片段均正常的社区获得性肺炎患者血清鳞状细胞癌抗原升高的影响因素分析

Analysis of influencing factors of serum SCCA elevation in 309 CAP patients with normal CEA,NSE and CYFRA21-1.

作者信息

Wang Jinghan, Tang Xiao, Liu Xin, Zhang Jing

机构信息

Department of Clinical Laboratory, the Second Hospital of Dalian Medical University, Dalian, China.

Department of Health Statistics, School of Public Health, Dalian Medical University, Dalian, China.

出版信息

Front Oncol. 2024 Jan 29;14:1243432. doi: 10.3389/fonc.2024.1243432. eCollection 2024.

Abstract

INTRODUCTION

Squamous cell carcinoma antigen (SCCA) is one of the auxiliary diagnostic indicators of lung squamous cell carcinoma, and an increase in serum SCCA can predict the occurrence of lung squamous cell carcinoma. However, whether SCCA is also elevated in pneumonia patients without malignancy is still not clear. Therefore, we studied influencing factors of elevated serum SCCA in patients with community-acquired pneumonia.

METHODS

We retrospectively enrolled 309 patients who were admitted to the Respiratory department with normal serum Carcinoembryonic antigen (CEA), Neuron specific enolase (NSE), and Cytokeratin 19 fragment (CYFRA21-1) level and were diagnosed with community-acquired pneumonia (CAP). The patients' serum SCCA level, body temperature, age, sex, white blood cell (WBC) count, hypersensitive C-reactive protein (Hs-CRP) level, and serum amyloid A (SAA) were recorded. Logistic regression models were used to analyze the risk factors of SCCA elevation. The dose-response relationship between temperature and risk of SCCA increase was analyzed using Restricted cubic splines (RCS).

RESULTS

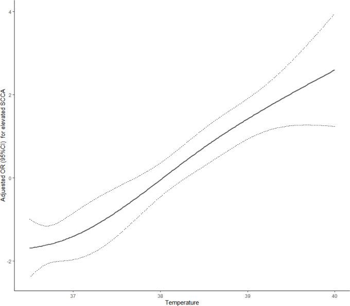
Of the 309 patients, 143(46.3%) showed elevated SCCA levels. The logistic regression analysis revealed a significant influence of age and body temperature on elevated SCCA <0.05) levels. For every one-year increase in age, the probability of elevated SCCA decreased by 3% [OR=0.97,95%CI:0.95,0.99].For every 1°C increase in body temperature, the risk of elevated SCCA increased by 2.75 times [OR=3.75,95%CI:2.55,5.49].The patients were sorted into quartiles based on body temperature. Compared with patients in the Q1 of body temperature group, patients in the Q3 group were at 7.92 times higher risk [OR=7.92, 95%CI:3.27,19.16].and the risk of elevated SCCA was increased by 22.85 times in the Q4 group [OR=23.85,95%CI:8.38,67.89] after adjusting for age, gender, Hs-CRP, SAA, and WBC. RCS analysis showed there was a linear relationship between temperature index and risk of elevated SCCA.

CONCLUSION

In summary, for CAP patients with normal CEA,NSE and CYFRA21-1 level, age and body temperature are influencing factors of SCCA elevation. Higher body temperature has a strong association with the occurrence of SCCA elevation.

摘要

引言

鳞状细胞癌抗原(SCCA)是肺鳞状细胞癌的辅助诊断指标之一,血清SCCA升高可预测肺鳞状细胞癌的发生。然而,无恶性肿瘤的肺炎患者血清SCCA是否也会升高仍不清楚。因此,我们研究了社区获得性肺炎患者血清SCCA升高的影响因素。

方法

我们回顾性纳入了309例血清癌胚抗原(CEA)、神经元特异性烯醇化酶(NSE)和细胞角蛋白19片段(CYFRA21-1)水平正常且被诊断为社区获得性肺炎(CAP)并入住呼吸科的患者。记录患者的血清SCCA水平、体温、年龄、性别、白细胞(WBC)计数、超敏C反应蛋白(Hs-CRP)水平和血清淀粉样蛋白A(SAA)。采用逻辑回归模型分析SCCA升高的危险因素。使用受限立方样条(RCS)分析温度与SCCA升高风险之间的剂量反应关系。

结果

在309例患者中,143例(46.3%)血清SCCA水平升高。逻辑回归分析显示年龄和体温对SCCA水平升高有显著影响(P<0.05)。年龄每增加1岁,SCCA升高的概率降低3%[比值比(OR)=0.97,95%置信区间(CI):0.95,0.99]。体温每升高1℃,SCCA升高的风险增加2.75倍[OR=3.75,95%CI:2.55,5.49]。根据体温将患者分为四分位数。与体温组Q1的患者相比,Q3组的患者风险高7.92倍[OR=7.92,95%CI:3.27,19.16]。在调整年龄、性别、Hs-CRP、SAA和WBC后,Q4组SCCA升高的风险增加22.85倍[OR=23.85,95%CI:8.38,67.89]。RCS分析显示温度指数与SCCA升高风险之间存在线性关系。

结论

总之,对于CEA、NSE和CYFRA21-1水平正常的CAP患者,年龄和体温是SCCA升高的影响因素。较高的体温与SCCA升高的发生密切相关。

https://cdn.ncbi.nlm.nih.gov/pmc/blobs/1101/10859420/c7568709e54f/fonc-14-1243432-g001.jpg

文献AI研究员

20分钟写一篇综述,助力文献阅读效率提升50倍。

立即体验

用中文搜PubMed

大模型驱动的PubMed中文搜索引擎

马上搜索

文档翻译

学术文献翻译模型,支持多种主流文档格式。

立即体验