Suppr超能文献

分化酵母亚群的特征取决于它们的生活方式和可用的营养物质。

The characteristics of differentiated yeast subpopulations depend on their lifestyle and available nutrients.

机构信息

Department of Genetics and Microbiology, Faculty of Science, Charles University, BIOCEV, Prague, Czech Republic.

出版信息

Sci Rep. 2024 Feb 14;14(1):3681. doi: 10.1038/s41598-024-54300-9.

Abstract

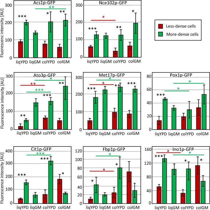
Yeast populations can undergo diversification during their growth and ageing, leading to the formation of different cell-types. Differentiation into two major subpopulations, differing in cell size and density and exhibiting distinct physiological and metabolic properties, was described in planktonic liquid cultures and in populations of colonies growing on semisolid surfaces. Here, we compare stress resistance, metabolism and expression of marker genes in seven differentiated cell subpopulations emerging during cultivation in liquid fermentative or respiratory media and during colony development on the same type of solid media. The results show that the more-dense cell subpopulations are more stress resistant than the less-dense subpopulations under all cultivation conditions tested. On the other hand, respiratory capacity, enzymatic activities and marker gene expression differed more between subpopulations. These characteristics are more influenced by the lifestyle of the population (colony vs. planktonic cultivation) and the medium composition. Only in the population growing in liquid respiratory medium, two subpopulations do not form as in the other conditions tested, but all cells exhibit a range of characteristics of the more-dense subpopulations. This suggests that signals for cell differentiation may be triggered by prior metabolic reprogramming or by an unknown signal from the structured environment in the colony.

摘要

酵母种群在生长和衰老过程中会发生多样化,导致不同细胞类型的形成。在浮游液培养物和在半固体表面生长的菌落群体中,已经描述了分化为两个主要亚群的情况,这两个亚群在细胞大小和密度上有所不同,并表现出不同的生理和代谢特性。在这里,我们比较了在液体发酵或呼吸培养基中培养以及在相同类型的固体培养基上菌落发育过程中出现的七个分化细胞亚群的抗应激能力、代谢和标记基因的表达。结果表明,在所有测试的培养条件下,较密集的细胞亚群比较稀疏的亚群更具抗应激能力。另一方面,呼吸能力、酶活性和标记基因的表达在亚群之间的差异更大。这些特征更多地受到群体生活方式(菌落与浮游培养)和培养基组成的影响。只有在液体呼吸培养基中生长的群体中,两个亚群不会像在其他测试条件下那样形成,而是所有细胞都表现出更密集亚群的一系列特征。这表明细胞分化的信号可能是由先前的代谢重编程或菌落中结构化环境的未知信号触发的。

https://cdn.ncbi.nlm.nih.gov/pmc/blobs/5a5a/10866891/7bd70b49a1f7/41598_2024_54300_Fig1_HTML.jpg

文献AI研究员

20分钟写一篇综述,助力文献阅读效率提升50倍。

立即体验

用中文搜PubMed

大模型驱动的PubMed中文搜索引擎

马上搜索

文档翻译

学术文献翻译模型,支持多种主流文档格式。

立即体验