Nikolaev Anton V, Fang Yitian, Essers Jeroen, Panth Kranthi M, Ambagtsheer Gisela, Clahsen-van Groningen Marian C, Minnee Robert C, van Soest Gijs, de Bruin Ron W F
Erasmus MC, Cardiovascular Institute, Thorax Center, Department of Cardiology, Dr. Molewaterplein 40, 3015 GD, Rotterdam, the Netherlands.
Erasmus MC Transplant Institute, Department of Surgery, Division of HPB and Transplant Surgery, Erasmus Medical Center, Rotterdam, Dr. Molewaterplein 40, 3015 GD, Rotterdam, the Netherlands.
Photoacoustics. 2024 Feb 9;36:100596. doi: 10.1016/j.pacs.2024.100596. eCollection 2024 Apr.
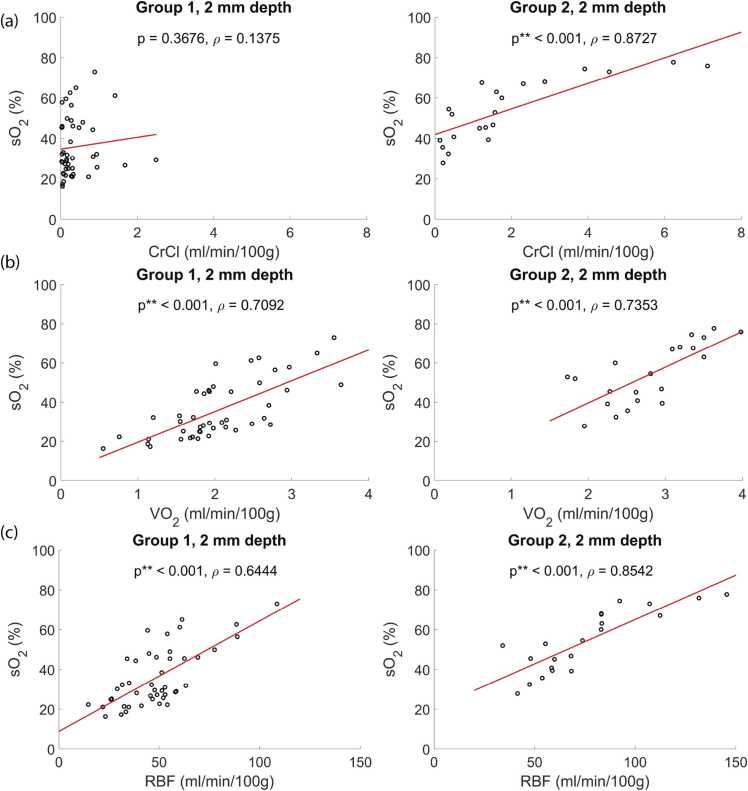
Due to the shortage of kidneys donated for transplantation, surgeons are forced to use the organs with an elevated risk of poor function or even failure. Although the existing methods for pre-transplant quality evaluation have been validated over decades in population cohort studies across the world, new methods are needed as long as delayed graft function or failure in a kidney transplant occurs. In this study, we explored the potential of utilizing photoacoustic (PA) imaging during normothermic machine perfusion (NMP) as a means of evaluating kidney quality. We closely monitored twenty-two porcine kidneys using 3D PA imaging during a two-hour NMP session. Based on biochemical analyses of perfusate and produced urine, the kidneys were categorized into 'non-functional' and 'functional' groups. Our primary focus was to quantify oxygenation () within the kidney cortical layer of depths 2 mm, 4 mm, and 6 mm using two-wavelength PA imaging. Next, receiver operating characteristic (ROC) analysis was performed to determine an optimal cortical layer depth and time point for the quantification of to discriminate between functional and non-functional organs. Finally, for each depth, we assessed the correlation between and creatinine clearance (), oxygen consumption (), and renal blood flow (RBF). We found that hypoxia of the renal cortex is associated with poor renal function. In addition, the determination of within the 2 mm depth of the renal cortex after 30 min of NMP effectively distinguishes between functional and non-functional kidneys. The non-functional kidneys can be detected with the sensitivity and specificity of 80% and 85% respectively, using the cut-off point of < 39%. Oxygenation significantly correlates with RBF and in all kidneys. In functional kidneys, correlated with which is not the case for non-functional kidneys. We conclude that the presented technique has a high potential for supporting organ selection for kidney transplantation.
由于用于移植的捐赠肾脏短缺,外科医生被迫使用功能不佳甚至衰竭风险较高的器官。尽管现有的移植前质量评估方法在全球范围内的人群队列研究中已得到数十年验证,但只要肾移植出现移植肾功能延迟或衰竭,就仍需要新的方法。在本研究中,我们探索了在常温机器灌注(NMP)期间利用光声(PA)成像评估肾脏质量的潜力。我们在两小时的NMP过程中使用三维PA成像密切监测了22个猪肾。根据灌注液和产生尿液的生化分析,将这些肾脏分为“无功能”和“有功能”组。我们的主要重点是使用双波长PA成像对肾皮质层2毫米、4毫米和6毫米深度处的氧合()进行量化。接下来,进行了受试者操作特征(ROC)分析,以确定用于量化以区分有功能和无功能器官的最佳皮质层深度和时间点。最后,对于每个深度,我们评估了与肌酐清除率()、氧消耗()和肾血流量(RBF)之间的相关性。我们发现肾皮质缺氧与肾功能不佳有关。此外,在NMP 30分钟后对肾皮质2毫米深度内的进行测定可有效区分有功能和无功能的肾脏。使用<39%的截断点,无功能肾脏的检测灵敏度和特异性分别为80%和85%。在所有肾脏中,氧合与RBF和显著相关。在有功能的肾脏中,与相关,而在无功能的肾脏中则不然。我们得出结论,所提出的技术在支持肾移植器官选择方面具有很高的潜力。