Suppr超能文献

[贝宁蛇咬伤中毒治疗方案的评估]

[Assessment of a therapeutic protocol for the management of snakebite envenomations in Benin].

作者信息

Tankpinou Zoumenou Harold, Chippaux Jean-Philippe, Fachehoun Pierre, Priuli Giambattista, Massougbodji Achille

机构信息

Institut de recherche clinique du Bénin, Abomey-Calavi, Bénin.

Université Paris Cité, IRD, MERIT, 4 avenue de l'Observatoire, Paris, France.

出版信息

Med Trop Sante Int. 2023 Nov 29;3(4). doi: 10.48327/mtsi.v3i4.2023.451. eCollection 2023 Dec 31.

Abstract

INTRODUCTION

Snakebite envenomation is a major public health issue in Sub-Saharan Africa (SSA). Antivenoms are the only etiological treatment. However, the dose recommended by the manufacturer (2 vials renewed every 2 hours in case of persistent bleeding) is usually not applied due to the high cost which is borne only by the patient. Based on clinical presentation, we evaluated the administration of a single vial on admission (instead of 2 vials), which corresponds to the therapeutic protocol used in current practice in most health centers in Benin and beyond in SSA. Renewal of antivenom followed manufacturer's recommendation.

MATERIAL AND METHOD

The study took place in a first referral hospital in Tanguiéta, North Benin. All envenomed patients received a slow intravenous vial of Inoserp Pan-Africa (IPA) upon arrival. A clinical assessment identical to that of inclusion was carried out 2, 4, 6, 12 and 24 hours later to assess the tolerance and efficacy of the IPA, as well as the need to readminister the antivenom. The occurrence, persistence or worsening of clinical hemorrhages or neurological disorders, the latter reflecting envenomation by elapids, systematically led to the injection of 2 or 4 vials of IPA, respectively. Signs of intolerance were sought before and after each administration of antivenom, then 2 weeks to 1 month after treatment, in order to estimate the incidence of adverse effects attributable to the antivenom. Efficacy of IPA was assessed by cessation of bleeding and/or normalization of whole blood coagulation test (WBCT) within 24 hours of initial administration.

RESULTS

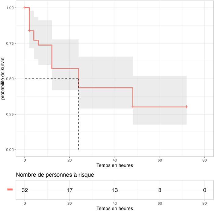
The study took place from July 31 to October 31, 2019. We received 53 cases of snakebites of which 43 were included. The median age was 21 [IQR: 18-31] years and the sex ratio (M/F) was 1.5. Farmers were the majority (48%). The median time to admission was 1 [IQR: 0-2] day. On admission, 32 patients (74%) presented hemostasis disorders marked by bleeding and/or abnormal WBCT. None of the patients showed neurological symptoms. The median time to normalization of WBCT was 24 [IQR: 4-72] hours. The median time to stop bleeding was 6 [IQR: 4-12] hours. In 3 of the 11 patients whose bleeding had stopped at H2, a recurrence occurred within the following 24 hours. In addition, 3 patients presented with late bleeding 24 hours after admission. Two patients (5%) died as a result of envenomation.

DISCUSSION/CONCLUSION: The simplified protocol represents a significant saving in the number of vials used, i.e. 1.8±0.4 vials per patient instead of the 2.4±0.2 which would have been necessary in these same patients treated according to the standard protocol (p = 2.6·10). However, in comparison with the results obtained during the previous clinical study, the cessation of bleeding is delayed, as is the normalization of the WBCT at the different follow-up times. In addition, the number of re-administrations of antivenom after H2 is higher in the light protocol than in the standard one, respectively 13 patients out of 43 treated versus 4 patients out of 59 (p = 0.006). There was no significant difference between the incidence of signs of early antivenom intolerance in this study compared to the previous one (16% and 11%, respectively; p = 0.79). This delay can put up to a third of patients at risk of complications. Despite its effectiveness and the antivenom savings made, it does not seem reasonable to recommend it.

摘要

引言

蛇咬伤中毒是撒哈拉以南非洲(SSA)的一个主要公共卫生问题。抗蛇毒血清是唯一的病因治疗方法。然而,由于高昂的费用(仅由患者承担),制造商推荐的剂量(持续出血时每2小时更换2瓶)通常未被采用。基于临床表现,我们评估了入院时给予单瓶(而非2瓶)抗蛇毒血清的情况,这与贝宁及SSA其他地区大多数卫生中心目前的治疗方案一致。抗蛇毒血清的更换遵循制造商的建议。

材料与方法

该研究在贝宁北部坦圭埃塔的一家一级转诊医院进行。所有中毒患者入院时均接受了缓慢静脉注射一瓶泛非伊诺蛇毒血清(IPA)。在2、4、6、12和24小时后进行了与纳入时相同的临床评估,以评估IPA的耐受性和疗效,以及再次注射抗蛇毒血清的必要性。临床出血或神经功能障碍的发生、持续或恶化(后者反映眼镜蛇科蛇咬伤中毒)分别系统性地导致注射2瓶或4瓶IPA。在每次注射抗蛇毒血清前后,以及治疗后2周至1个月,寻找不耐受迹象,以估计抗蛇毒血清所致不良反应的发生率。通过在首次给药后24小时内出血停止和/或全血凝血试验(WBCT)恢复正常来评估IPA的疗效。

结果

该研究于2019年7月31日至10月31日进行。我们共接收了53例蛇咬伤病例,其中43例被纳入研究。中位年龄为21岁[四分位间距(IQR):18 - 31岁],性别比(男/女)为1.5。农民占大多数(48%)。入院的中位时间为1天[IQR:0 - 2天]。入院时,32例患者(74%)出现以出血和/或异常WBCT为特征的止血障碍。没有患者出现神经症状。WBCT恢复正常的中位时间为24小时[IQR:4 - 72小时]。出血停止的中位时间为6小时[IQR:4 - 12小时]。在H2时出血已停止的11例患者中,有3例在接下来的24小时内复发。此外,3例患者在入院24小时后出现迟发性出血。2例患者(5%)因蛇咬伤中毒死亡。

讨论/结论:简化方案在使用的瓶数上有显著节省,即每位患者1.8±0.4瓶,而按照标准方案治疗这些相同患者则需要2.4±0.2瓶(p = 2.6·10)。然而,与之前临床研究的结果相比,出血停止延迟,不同随访时间的WBCT恢复正常也延迟。此外,简化方案中H2后再次注射抗蛇毒血清的患者数量高于标准方案,分别为43例治疗患者中的13例和59例患者中的4例(p = 0.006)。本研究中抗蛇毒血清早期不耐受迹象的发生率与之前的研究相比无显著差异(分别为16%和11%;p = 0.79)。这种延迟可能使多达三分之一的患者面临并发症风险。尽管它有效且节省了抗蛇毒血清,但推荐它似乎并不合理。

https://cdn.ncbi.nlm.nih.gov/pmc/blobs/5dee/10879887/45125f4241b2/mtsi-03-5422-g002.jpg

文献AI研究员

20分钟写一篇综述,助力文献阅读效率提升50倍。

立即体验

用中文搜PubMed

大模型驱动的PubMed中文搜索引擎

马上搜索

文档翻译

学术文献翻译模型,支持多种主流文档格式。

立即体验