Suppr超能文献

改良RCTU评分:一种用于预测从轻度认知障碍转化为阿尔茨海默病的半定量视觉工具。

Modified RCTU Score: A Semi-Quantitative, Visual Tool for Predicting Alzheimer's Conversion from aMCI.

作者信息

Chong Ari, Ha Jung-Min, Chung Ji Yeon, Kim Hoowon, Choo I L Han

机构信息

Department of Nuclear Medicine, School of Medicine, Chosun University/Chosun University Hospital, Gwangju 61452, Republic of Korea.

Department of Neurology, School of Medicine, Chosun University/Chosun University Hospital, Gwangju 61452, Republic of Korea.

出版信息

Brain Sci. 2024 Jan 27;14(2):132. doi: 10.3390/brainsci14020132.

Abstract

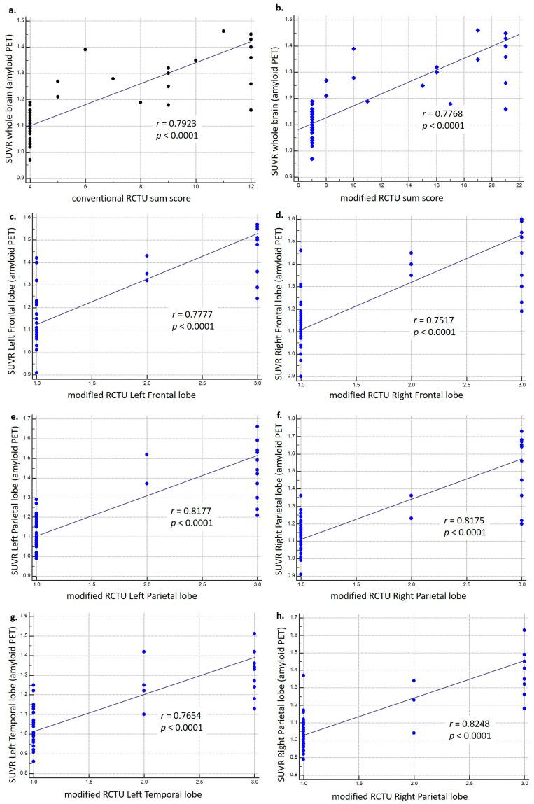
This research evaluated the modified RCTU score, derived from amyloid PET scans, for predicting the progression from amnestic Mild Cognitive Impairment (aMCI) to Alzheimer's Disease (AD). aMCI patients underwent baseline evaluations, including amyloid PET. AD conversion was identified through neuropsychological tests after observation. The RCTU was modified by segmenting frontal, parietal, and temporal lobes into left and right, resulting in seven areas. Scores from both modified and conventional RCTU were analyzed and compared. Among 45 patients, 12 progressed to AD (over 17.8 ± 6.8 months). AD converters showed higher scores in modified RCTU scores. Modified RCTU score had strong correlations with amyloid SUVR ( > 0.7). Modified RCTU sum score was the significant covariate of AD conversion. Modified RCTU could determine the asymmetry of amyloid deposits. We demonstrated that symmetric deposits of amyloid showed a higher risk for AD conversion when analyzed using modified RCTU. The modified RCTU score is a promising method for predicting AD conversion, correlating strongly with amyloid SUVR.

摘要

本研究评估了源自淀粉样蛋白PET扫描的改良RCTU评分,以预测遗忘型轻度认知障碍(aMCI)向阿尔茨海默病(AD)的进展。aMCI患者接受了包括淀粉样蛋白PET在内的基线评估。通过观察后的神经心理学测试确定AD转化情况。通过将额叶、顶叶和颞叶分为左右两部分对RCTU进行改良,从而产生七个区域。对改良RCTU和传统RCTU的评分进行了分析和比较。在45例患者中,12例进展为AD(超过17.8±6.8个月)。AD转化者在改良RCTU评分中得分更高。改良RCTU评分与淀粉样蛋白SUVR有很强的相关性(>0.7)。改良RCTU总分是AD转化的显著协变量。改良RCTU可以确定淀粉样蛋白沉积的不对称性。我们证明,使用改良RCTU分析时,淀粉样蛋白的对称沉积显示出更高的AD转化风险。改良RCTU评分是预测AD转化的一种有前景的方法,与淀粉样蛋白SUVR密切相关。

https://cdn.ncbi.nlm.nih.gov/pmc/blobs/13bc/10886563/2cec95f80be1/brainsci-14-00132-g001.jpg

文献AI研究员

20分钟写一篇综述,助力文献阅读效率提升50倍。

立即体验

用中文搜PubMed

大模型驱动的PubMed中文搜索引擎

马上搜索

文档翻译

学术文献翻译模型,支持多种主流文档格式。

立即体验