Blazevicius Dovydas, Grigalevicius Saulius
Department of Polymer Chemistry and Technology, Kaunas University of Technology, Radvilenu Plentas 19, LT50254 Kaunas, Lithuania.
Nanomaterials (Basel). 2024 Feb 14;14(4):356. doi: 10.3390/nano14040356.
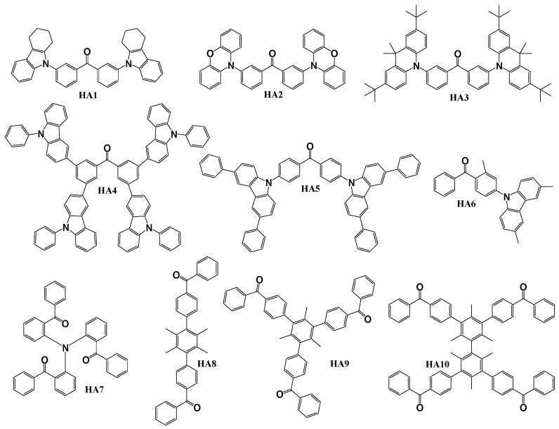
Organic light-emitting diodes (OLEDs) have garnered considerable attention in academic and industrial circles due to their potential applications in flat-panel displays and solid-state lighting technologies, leveraging the advantages offered by organic electroactive derivatives over their inorganic counterparts. The thin and flexible design of OLEDs enables the development of innovative lighting solutions, facilitating the creation of customizable and contoured lighting panels. Among the diverse electroactive components employed in the molecular design of OLED materials, the benzophenone core has attracted much attention as a fragment for the synthesis of organic semiconductors. On the other hand, benzophenone also functions as a classical phosphor with high intersystem crossing efficiency. This characteristic makes it a compelling candidate for effective reverse intersystem crossing, with potential in leading to the development of thermally activated delayed fluorescent (TADF) emitters. These emitting materials witnessed a pronounced interest in recent years due to their incorporation in metal-free electroactive frameworks and the capability to convert triplet excitons into emissive singlet excitons through reverse intersystem crossing (RISC), consequently achieving exceptionally high external quantum efficiencies (EQEs). This review article comprehensively overviews the synthetic pathways, thermal characteristics, electrochemical behaviour, and photophysical properties of derivatives based on benzophenone. Furthermore, we explore their applications in OLED devices, both as host materials and emitters, shedding light on the promising opportunities that benzophenone-based compounds present in advancing OLED technology.
有机发光二极管(OLED)因其在平板显示器和固态照明技术中的潜在应用而在学术界和工业界备受关注,它利用了有机电活性衍生物相对于无机对应物的优势。OLED的薄型和柔性设计能够开发创新的照明解决方案,便于制造可定制和异形的照明面板。在OLED材料分子设计中使用的各种电活性成分中,二苯甲酮核心作为有机半导体合成片段备受关注。另一方面,二苯甲酮还作为具有高系间窜越效率的经典磷光体发挥作用。这一特性使其成为有效反向系间窜越的有力候选者,有可能导致热激活延迟荧光(TADF)发光体的发展。近年来,这些发光材料因其被纳入无金属电活性框架以及通过反向系间窜越(RISC)将三重态激子转化为发光单重态激子的能力而备受关注,从而实现了极高的外量子效率(EQE)。本文综述全面概述了基于二苯甲酮的衍生物的合成途径、热特性、电化学行为和光物理性质。此外,我们探讨了它们在OLED器件中作为主体材料和发光体的应用,揭示了基于二苯甲酮的化合物在推动OLED技术发展方面所呈现的广阔前景。