Kebert Marko, Stojnić Srđan, Rašeta Milena, Kostić Saša, Vuksanović Vanja, Ivanković Mladen, Lanšćak Miran, Markić Anđelina Gavranović
Institute of Lowland Forestry and Environment, University of Novi Sad, 21000 Novi Sad, Serbia.
Department of Chemistry, Biochemistry, and Environmental Protection, Faculty of Sciences, University of Novi Sad, 21000 Novi Sad, Serbia.
Antioxidants (Basel). 2024 Feb 12;13(2):227. doi: 10.3390/antiox13020227.
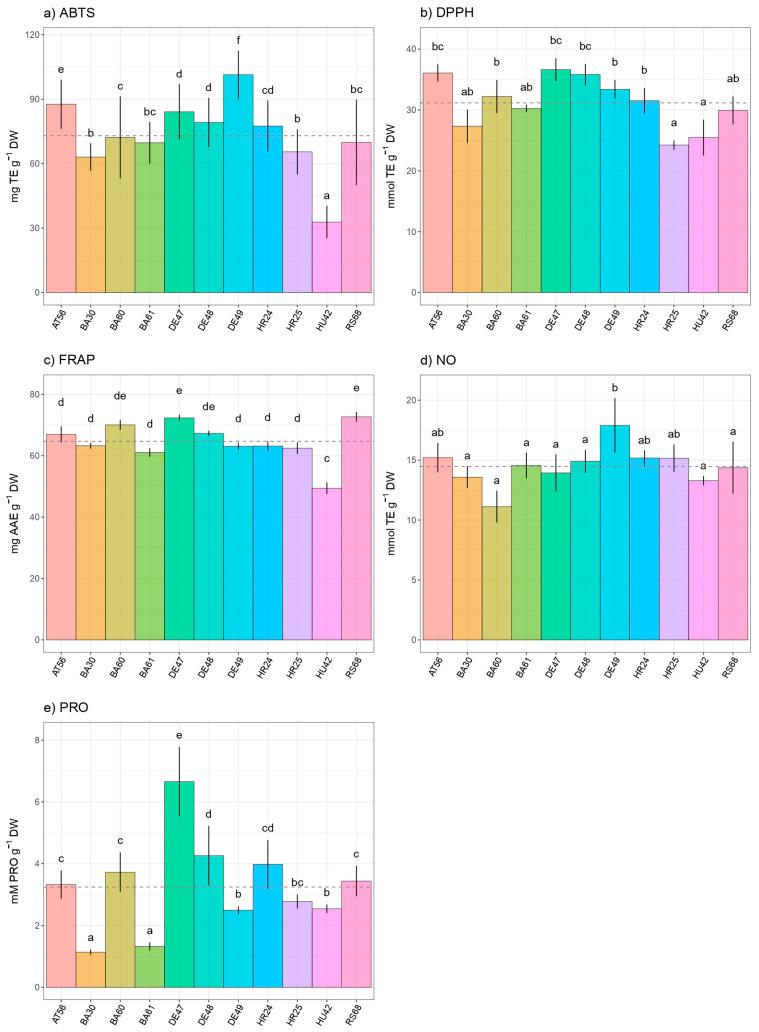
International provenance trials are a hot topic in forestry, and in light of climate change, the search for more resilient beech provenances and their assisted migration is one of the challenges of climate-smart forestry. The main aim of the study was to determine intraspecific variability in European beech ( L.) among 11 beech provenances according to total antioxidant capacities estimated by various assays, such as DPPH (2,2-diphenyl-1-picrylhydrazyl), ABTS (2,2'-azino-bis-(3-ethylbenzothiazoline-6-sulfonic) acid), FRAP (ferric reducing antioxidant power) assay, and radical scavenging capacity against nitric oxide (RSC-NO assays), as well as osmolyte content, primarily individual polyamines (putrescine, spermidine, and spermine), and free proline content. Polyamine amounts were quantified by using HPLC coupled with fluorescent detection after dansylation pretreatment. The highest values for radical scavenger capacity assays (ABTS, DPPH, and FRAP) were measured in the German provenances DE47 and DE49. Also, the highest NO inhibition capacity was found in the provenance DE49, while the highest content of proline (PRO), total phenolic content (TPC), and total flavonoid content (TFC) was recorded in DE47. The Austrian AT56 and German provenance DE49 were most abundant in total polyamines. This research underlines the importance of the application of common antioxidant assays as well as osmolyte quantification as a criterion for the selection of climate-ready beech provenances for sustainable forest management.
国际种源试验是林业领域的一个热门话题,鉴于气候变化,寻找更具适应性的山毛榉种源及其辅助迁移是气候智能型林业面临的挑战之一。本研究的主要目的是根据通过各种测定方法估算的总抗氧化能力,确定11个欧洲山毛榉(L.)种源之间的种内变异性,这些测定方法包括DPPH(2,2-二苯基-1-苦基肼)、ABTS(2,2'-联氮-双-(3-乙基苯并噻唑啉-6-磺酸))、FRAP(铁还原抗氧化能力)测定以及对一氧化氮的自由基清除能力(RSC-NO测定),以及渗透调节物质含量,主要是个体多胺(腐胺、亚精胺和精胺)和游离脯氨酸含量。多胺含量通过丹磺酰化预处理后使用高效液相色谱结合荧光检测进行定量。自由基清除能力测定(ABTS、DPPH和FRAP)的最高值在德国种源DE47和DE49中测得。此外,种源DE49中发现的一氧化氮抑制能力最高,而脯氨酸(PRO)、总酚含量(TPC)和总黄酮含量(TFC)的最高值记录在DE47中。奥地利的AT56和德国种源DE49的总多胺含量最为丰富。这项研究强调了应用常见抗氧化测定以及渗透调节物质定量作为选择适应气候变化的山毛榉种源以实现可持续森林管理标准的重要性。