Suppr超能文献

动眼神经颅神经麻痹与原发性恶性脑肿瘤风险增加:韩国国民健康保险数据

Ocular Motor Cranial Nerve Palsies and Increased Risk of Primary Malignant Brain Tumors: South Korean National Health Insurance Data.

作者信息

Lyu In Jeong, Han Kyungdo, Park Kyung-Ah, Oh Sei Yeul

机构信息

Department of Ophthalmology, Korea Cancer Center Hospital, Seoul 01812, Republic of Korea.

Department of Statistics and Actuarial Science, Soongsil University, Seoul 06978, Republic of Korea.

出版信息

Cancers (Basel). 2024 Feb 14;16(4):781. doi: 10.3390/cancers16040781.

Abstract

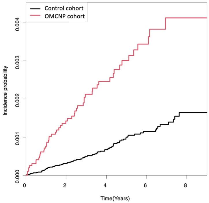
The aim of this study was to investigate the association between ocular motor cranial nerve palsies (OMCNP) and the occurrence of primary malignant brain tumors in a Korean population, using the national sample cohort database from Korea National Health Insurance Service (KNHIS). KNHIS data between 2010 and 2017 were analyzed. Our sample encompassed 118,686 participants, including 19,781 from a recently diagnosed OMCNP cohort and 98,905 from a matched control cohort through a 1:5 propensity score matching based on age and gender. To counteract the issue of reverse causation, we integrated a one-year time lag in our sensitivity analysis. Study participants were followed up until 31 December 2019. Cox proportional hazard regression analysis was used to compute the adjusted hazard ratio (HR) for primary malignant brain tumors according to the OMCNP diagnosis. Additionally, we performed a subgroup analysis to discern effects of various factors on the association between OMCNP and primary malignant brain tumors. HR for primary malignant brain tumors was 3.272 (95% confidence interval [CI]: 2.294 to 4.665) in the OMCNP cohort compared to the control cohort in a fully adjusted model for age, sex, socio-economic status, smoking, drinking, regular physical exercise, hypertension, diabetes, dyslipidemia, obesity, chronic kidney disease, and human immunodeficiency virus infection. Further subgroup analysis revealed that the risk of primary malignant brain tumors was significantly increased in women with OMCNP compared to men with OMCNP (HR: 5.118 in women vs. 2.441 in men, = 0.0440), and in those aged <65 years than in those aged ≥65 years (HR: 6.951 in age < 65 years vs. 1.899 in age ≥ 65 years, = 0.0006). Our population-based cohort study demonstrated a significantly increased risk of subsequent primary malignant brain tumors in patients with OMCNP. Particularly, OMCNP-afflicted women aged below 65 manifested a heightened probability of developing primary malignant brain tumors compared to those devoid of OMCNP.

摘要

本研究旨在利用韩国国民健康保险服务(KNHIS)的全国样本队列数据库,调查韩国人群中眼动性颅神经麻痹(OMCNP)与原发性恶性脑肿瘤发生之间的关联。分析了2010年至2017年期间的KNHIS数据。我们的样本包括118,686名参与者,其中19,781名来自最近诊断出OMCNP的队列,98,905名来自通过基于年龄和性别的1:5倾向得分匹配的匹配对照队列。为了应对反向因果关系问题,我们在敏感性分析中纳入了一年的时间滞后。研究参与者随访至2019年12月31日。使用Cox比例风险回归分析根据OMCNP诊断计算原发性恶性脑肿瘤的调整后风险比(HR)。此外,我们进行了亚组分析,以识别各种因素对OMCNP与原发性恶性脑肿瘤之间关联的影响。在年龄、性别、社会经济地位、吸烟、饮酒、定期体育锻炼、高血压、糖尿病、血脂异常、肥胖、慢性肾病和人类免疫缺陷病毒感染的完全调整模型中,与对照队列相比,OMCNP队列中原发性恶性脑肿瘤的HR为3.272(95%置信区间[CI]:2.294至4.665)。进一步的亚组分析显示,与患有OMCNP的男性相比,患有OMCNP的女性原发性恶性脑肿瘤的风险显著增加(女性HR:5.118,男性HR:2.441,P = 0.0440),并且年龄<65岁的人群比年龄≥65岁的人群风险更高(年龄<65岁时HR:6.951,年龄≥65岁时HR:1.899,P = 0.0006)。我们基于人群的队列研究表明,OMCNP患者后续原发性恶性脑肿瘤的风险显著增加。特别是,与没有OMCNP的女性相比,65岁以下患有OMCNP的女性患原发性恶性脑肿瘤的可能性更高。

https://cdn.ncbi.nlm.nih.gov/pmc/blobs/72c5/10886462/021701d2a446/cancers-16-00781-g001.jpg

文献AI研究员

20分钟写一篇综述,助力文献阅读效率提升50倍。

立即体验

用中文搜PubMed

大模型驱动的PubMed中文搜索引擎

马上搜索

文档翻译

学术文献翻译模型,支持多种主流文档格式。

立即体验