Suppr超能文献

大流行和伴随的 COVID-19 对大脑中动脉中风的管理和结局的影响:一项基于全国登记的研究。

Impact of the pandemic and concomitant COVID-19 on the management and outcomes of middle cerebral artery strokes: a nationwide registry-based study.

机构信息

Mayo Clinic, Rochester, Minnesota, USA.

Clinical Neuroscience, Karolinska Institute, Stockholm, Sweden.

出版信息

BMJ Open. 2024 Feb 27;14(2):e080738. doi: 10.1136/bmjopen-2023-080738.

Abstract

OBJECTIVES

To investigate the impact of the COVID-19 pandemic as well as concomitant COVID-19 itself on stroke care, focusing on middle cerebral artery (MCA) territory infarctions.

DESIGN

Registry-based study.

SETTING

We used the National Inpatient Sample (NIS) database, which covers a wide range of hospitals within the USA.

PARTICIPANTS

The NIS was queried for patients with MCA strokes between 2016 and 2020. In total, 35 231 patients were included.

OUTCOME MEASURES

Outcome measures were postprocedural complications, length of stays (LOSs), in-hospital mortality and non-routine discharge. Propensity score matching using all available baseline variables was performed to reduce confounders when comparing patients with and without concomitant COVID-19.

RESULTS

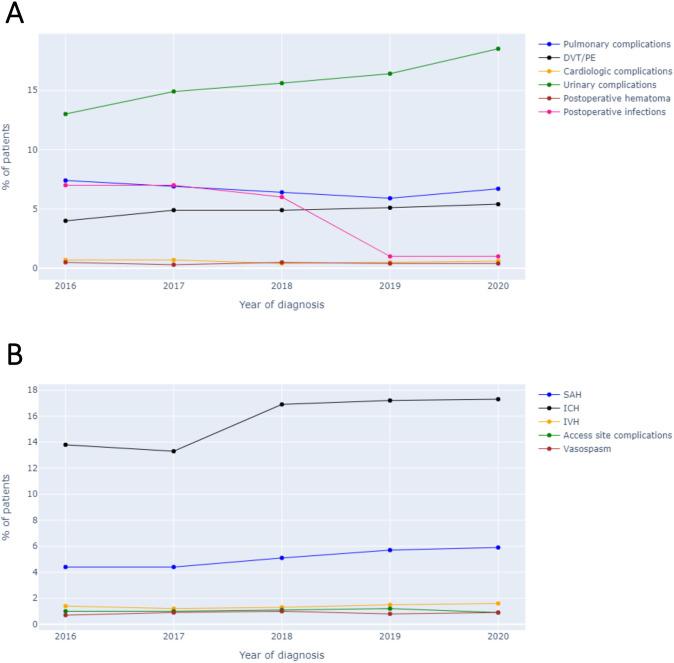
Mechanical thrombectomy (MT) was performed in 48.4%, intravenous thrombolysis (IVT) in 38.2%, and both MT and IVT (MT+IVT) in 13.4% of patients. A gradual increase in the use of MT and an opposite decrease in the use of IVT (p<0.001) was detected during the study period. Overall, 25.0% of all patients were admitted for MCA strokes during the pandemic period (2020), of these 209 (2.4%) were concomitantly diagnosed with COVID-19. Patients with MCA strokes and concomitant COVID-19 were significantly younger (64.9 vs 70.0; p<0.001), had significantly worse NIH Stroke Severity scores, and worse outcomes in terms of LOS (12.3 vs 8.2; p<0.001), in-hospital mortality (26.3% vs 9.8%; p<0.001) and non-routine discharge (84.2% vs 76.9%; p=0.013), as compared with those without COVID-19. After matching, only in-hospital mortality rates remained significantly higher in patients with COVID-19 (26.7% vs 8.5%; p<0.001). Additionally, patients with COVID-19 had higher rates of thromboembolic (12.3% vs 7.6%; p=0.035) and respiratory (11.3% vs 6.6%; p=0.029) complications.

CONCLUSIONS

Among patients with MCA stroke, those with concomitant COVID-19 were significantly younger and had higher stroke severity scores. They were more likely to experience thromboembolic and respiratory complications and in-hospital mortality compared with matched controls.

摘要

目的

研究 COVID-19 大流行及其本身对卒中治疗的影响,重点关注大脑中动脉(MCA)区域梗死。

设计

基于登记的研究。

地点

我们使用了国家住院患者样本(NIS)数据库,该数据库涵盖了美国范围内的许多医院。

参与者

NIS 调查了 2016 年至 2020 年间患有 MCA 卒中的患者。共纳入 35231 例患者。

结局指标

结局指标为术后并发症、住院时间(LOS)、住院死亡率和非常规出院。使用所有可用的基线变量进行倾向评分匹配,以在比较伴有和不伴有 COVID-19 的患者时减少混杂因素。

结果

机械血栓切除术(MT)的使用率为 48.4%,静脉溶栓(IVT)的使用率为 38.2%,MT 和 IVT 联合使用(MT+IVT)的使用率为 13.4%。在研究期间,MT 的使用率逐渐增加,而 IVT 的使用率则相反下降(p<0.001)。总体而言,所有患者中有 25.0%是在大流行期间(2020 年)因 MCA 卒中入院的,其中 209 例(2.4%)同时被诊断为 COVID-19。患有 MCA 卒中并伴有 COVID-19 的患者明显更年轻(64.9 岁比 70.0 岁;p<0.001),NIH 卒中严重程度评分明显更差,且 LOS(12.3 天比 8.2 天;p<0.001)、住院死亡率(26.3%比 9.8%;p<0.001)和非常规出院率(84.2%比 76.9%;p=0.013)更高,与没有 COVID-19 的患者相比。匹配后,只有 COVID-19 患者的住院死亡率仍显著较高(26.7%比 8.5%;p<0.001)。此外,COVID-19 患者的血栓栓塞(12.3%比 7.6%;p=0.035)和呼吸(11.3%比 6.6%;p=0.029)并发症发生率更高。

结论

在 MCA 卒中患者中,伴有 COVID-19 的患者明显更年轻,且卒中严重程度评分更高。与匹配对照组相比,他们更有可能发生血栓栓塞和呼吸并发症,以及住院死亡率。

https://cdn.ncbi.nlm.nih.gov/pmc/blobs/9cb0/10900352/bed928dcfd51/bmjopen-2023-080738f01.jpg

文献AI研究员

20分钟写一篇综述,助力文献阅读效率提升50倍。

立即体验

用中文搜PubMed

大模型驱动的PubMed中文搜索引擎

马上搜索

文档翻译

学术文献翻译模型,支持多种主流文档格式。

立即体验