Suppr超能文献

小肩星天牛(法布里丘斯,1777年)的基因组序列。

The genome sequence of the Minor Shoulder-knot, (Fabricius, 1777).

作者信息

Boyes Douglas, Boyes Clare

机构信息

UK Centre for Ecology & Hydrology, Wallingford, England, UK.

Independent researcher, Welshpool, Wales, UK.

出版信息

Wellcome Open Res. 2023 Jun 14;8:245. doi: 10.12688/wellcomeopenres.19538.1. eCollection 2023.

Abstract

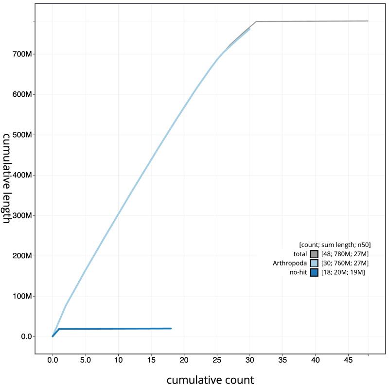
We present a genome assembly from an individual male (the Minor Shoulder-knot; Arthropoda; Insecta; Lepidoptera; Noctuidae). The genome sequence is 782.2 megabases in span. Most of the assembly is scaffolded into 31 chromosomal pseudomolecules, including the Z sex chromosome. The mitochondrial genome has also been assembled and is 16.15 kilobases in length. Gene annotation of this assembly on Ensembl identified 20,191 protein coding genes.

摘要

我们展示了一个来自雄性个体(小肩夜蛾;节肢动物门;昆虫纲;鳞翅目;夜蛾科)的基因组组装结果。基因组序列跨度为782.2兆碱基。大部分组装序列被构建成31条染色体假分子,包括Z性染色体。线粒体基因组也已组装完成,长度为16.15千碱基。在Ensembl上对该组装序列进行的基因注释识别出20,191个蛋白质编码基因。

https://cdn.ncbi.nlm.nih.gov/pmc/blobs/ddbe/10905140/28ca6b61480d/wellcomeopenres-8-21642-g0000.jpg

文献AI研究员

20分钟写一篇综述,助力文献阅读效率提升50倍。

立即体验

用中文搜PubMed

大模型驱动的PubMed中文搜索引擎

马上搜索

文档翻译

学术文献翻译模型,支持多种主流文档格式。

立即体验