Suppr超能文献

基于缺电子平面芳烃的环境稳定溶液处理有机场效应晶体管:端基对环境稳定性的影响。

Ambient stable solution-processed organic field effect transistors from electron deficient planar aromatics: effect of end-groups on ambient stability.

作者信息

Giri Indrajit, Biswas Sagar, Chhetri Shant, Choudhuri Anwesha, Mondal Indrajit, Senanayak Satyaprasad P, Iyer Parameswar Krishnan, Chaudhuri Debangshu, Vijayaraghavan Ratheesh K

机构信息

Department of Chemical Sciences, Indian Institute of Science Education and Research Kolkata Mohanpur, Nadia West Bengal 741246 India.

Centre for Nanotechnology, Indian Institute of Technology Guwahati Assam 781039 India.

出版信息

RSC Adv. 2024 Mar 6;14(11):7915-7923. doi: 10.1039/d4ra01499e. eCollection 2024 Feb 29.

Abstract

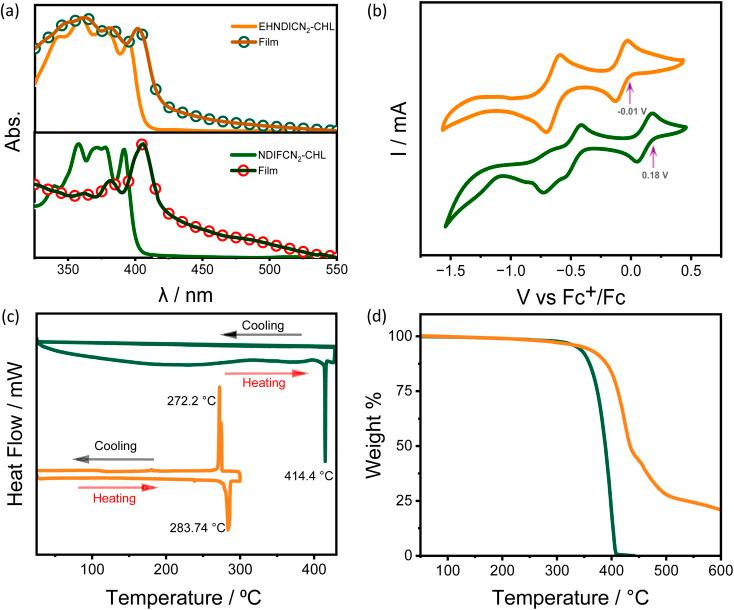
Ambient stable solution processed n-channel organic field effect transistors (OFETs) are essential for next-generation low-cost organic electronic devices. Several molecular features, such as suitable orbital energy levels, easy synthetic steps, , must be considered while designing efficient active layer materials. Here, we report a case of improved ambient stability of solution-processed n-type OFETs upon suitable end-groups substitution of the active layer materials. A pair of core-substituted napthalenediimide (NDIFCN and EHNDICN) derivatives with alkyl and perfluorinated end groups are considered. The transistor devices made out of these two derivatives exhibited largely different ambient stability behavior. The superior device stability (more than 25 days under ambient conditions) of one of the derivatives (NDIFCN) was ascribed to the presence of fluorinated end groups that function as hydrophobic guard units inhibiting moisture infiltration into the active layer, thereby achieving ambient stability under humid conditions (>65% relative atmospheric humidity). Molecular level optical and electrochemical properties, thermal stability, and the solution-processed (spin coat and drop cast active layers) device characteristics are described in detail. Our findings highlight the requirement of hydrophobic end groups or sidechains for ambient stability of active layer materials, along with deep LUMO levels for ambient stability.

摘要

环境稳定溶液处理的n沟道有机场效应晶体管(OFET)对于下一代低成本有机电子器件至关重要。在设计高效活性层材料时,必须考虑几个分子特征,例如合适的轨道能级、简单的合成步骤等。在此,我们报道了通过对活性层材料进行合适的端基取代来提高溶液处理的n型OFET的环境稳定性的案例。考虑了一对具有烷基和全氟端基的核心取代萘二酰亚胺(NDIFCN和EHNDICN)衍生物。由这两种衍生物制成的晶体管器件表现出截然不同的环境稳定性行为。其中一种衍生物(NDIFCN)具有优异的器件稳定性(在环境条件下超过25天),这归因于存在作为疏水保护单元的氟化端基,可抑制水分渗入活性层,从而在潮湿条件下(相对大气湿度>65%)实现环境稳定性。详细描述了分子水平的光学和电化学性质、热稳定性以及溶液处理(旋涂和滴铸活性层)器件特性。我们的研究结果强调了疏水端基或侧链对于活性层材料环境稳定性的要求,以及深LUMO能级对于环境稳定性的要求。

https://cdn.ncbi.nlm.nih.gov/pmc/blobs/a228/10915716/a9070aebb931/d4ra01499e-s1.jpg

文献AI研究员

20分钟写一篇综述,助力文献阅读效率提升50倍。

立即体验

用中文搜PubMed

大模型驱动的PubMed中文搜索引擎

马上搜索

文档翻译

学术文献翻译模型,支持多种主流文档格式。

立即体验