Suppr超能文献

对鲑鱼养殖业大量死亡事件的定量分析表明,世界各地鱼类损失事件的规模正在不断扩大。

Quantitative analysis of mass mortality events in salmon aquaculture shows increasing scale of fish loss events around the world.

机构信息

Ocean Nexus, School of Environmental Studies, University of Victoria, Victoria, Canada.

Mary Kay O'Connor Process Safety Center, Texas A&M University, College Station, USA.

出版信息

Sci Rep. 2024 Mar 7;14(1):3763. doi: 10.1038/s41598-024-54033-9.

Abstract

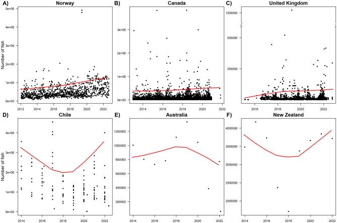
Globally, salmon aquaculture promises to contribute to sustainable sources of animal protein for a growing human population. However, the growth of the industry also includes increased reports of mass mortality events-disaster events where large numbers of fish die in short periods of time. As salmon production increases in scale and more technology is used to grow salmon in contexts otherwise not suited for them, there is a possibility for more frequent and more severe mortality events. Despite investigations into specific cases of mass mortality events-no global study has been conducted to see if large scale mortality is increasing in frequency and scale. Using a global dataset of publicly available and government-collated data on salmon mortality events including nations responsible for the majority of salmon aquaculture, we document trends in mortality events, showing that in some of the major salmon producing nations of the world (in particular Norway, Canada, and the UK), mass mortality events have increased in frequency from 2012 to 2022. We also show that the scope of mass mortality events has increased over time-that is, the upper bound of how many fish were killed in a specific mortality event has increased over time. Finally, the expected maximum size of a mass mortality event differs from country to country, but is likely much larger than site and jurisdictional thresholds of concern for animal welfare, early warning thresholds, and capacity to respond to mortality events. The consequences of the increased scale and scope of mass mortality events extend past aquaculture production to include severe consequences to aquaculture companies and to coastal communities who depend on aquaculture. Our results agree with predictions of the concept of "manufactured risk", which suggests that risk emerges from the aggressive use of technology to optimize production in variable environments, and we argue that there is a need for more fine-scale and standard data collection on salmon mortality events, and that future investigations into salmon aquaculture should increase focus on disaster potential and realization.

摘要

全球范围内,水产养殖三文鱼有望为不断增长的人口提供可持续的动物蛋白来源。然而,随着该行业的发展,大规模鱼类死亡事件(短时间内大量鱼类死亡的灾难事件)的报告也越来越多。随着三文鱼养殖规模的扩大,以及更多的技术被用于在不适合养殖的环境中养殖三文鱼,大规模死亡事件发生的频率和严重程度可能会增加。尽管已经对大规模死亡事件进行了具体案例的调查,但尚未开展全球性研究,以确定大规模死亡率是否在增加频率和规模。本研究使用了一个包含公开可得和政府汇总的三文鱼死亡事件数据的全球数据集,这些数据来自于负责大部分三文鱼养殖的国家,我们记录了死亡事件的趋势,结果表明,在世界上一些主要的三文鱼生产国(特别是挪威、加拿大和英国),大规模死亡事件的频率从 2012 年到 2022 年有所增加。我们还表明,大规模死亡事件的范围随着时间的推移而扩大,即,在特定的死亡事件中被杀死的鱼类数量上限随着时间的推移而增加。最后,大规模死亡事件的预期最大规模因国家而异,但很可能远远超过动物福利、早期预警阈值和应对死亡事件能力等关注的地点和管辖阈值。大规模死亡事件规模和范围的扩大所带来的后果不仅限于水产养殖生产,还包括对水产养殖公司和依赖水产养殖的沿海社区的严重后果。我们的研究结果与“制造风险”概念的预测一致,该概念表明,风险源于在多变的环境中积极使用技术来优化生产,我们认为,有必要对三文鱼死亡事件进行更精细和标准化的数据收集,未来对三文鱼水产养殖的研究应更多地关注灾害潜力和灾害发生的可能性。

https://cdn.ncbi.nlm.nih.gov/pmc/blobs/133e/10920753/5ffa6497a98d/41598_2024_54033_Fig1_HTML.jpg

文献AI研究员

20分钟写一篇综述,助力文献阅读效率提升50倍。

立即体验

用中文搜PubMed

大模型驱动的PubMed中文搜索引擎

马上搜索

文档翻译

学术文献翻译模型,支持多种主流文档格式。

立即体验