Suppr超能文献

中国东北地区空气污染与因精神和行为障碍就医之间的关联。

Air pollution associated with hospital visits for mental and behavioral disorders in Northeast China.

作者信息

Liu Huo, Zhao Hang, Huang Jinling, He Miao

机构信息

Liaoning Key Laboratory of Environmental Health Damage Research and Assessment, Department of Environmental Health, School of Public Health, China Medical University, Shenyang, China.

Department of Hospital Management Office, Shengjing Hospital of China Medical University, Shenyang, China.

出版信息

Front Epidemiol. 2023 Mar 30;3:1090313. doi: 10.3389/fepid.2023.1090313. eCollection 2023.

Abstract

BACKGROUND

Related studies have found that air pollution is an important factor affecting mental and behavioral disorders. Thus, we performed this time-series study to evaluate the relationship between short-term exposure to ambient air pollutants and visits to hospital by patients with mental and behavioral disorders in northeastern China.

METHODS

We used quasi-Poisson regression models and generalized additive models to probe the links between air pollution and mental and behavioral disorders. The possible influences were also explored stratified by season, age and gender.

RESULTS

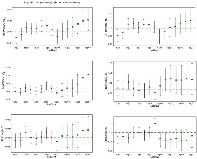
We found that sulfur dioxide (SO) had a cumulative effect on mental and behavioral disorders at lag04-lag07 and had the greatest effect at lag07 [Relative risk (RR) = 1.068, 95%CI = 1.021-1.117]. Particulate matter of size 2.5 μm (PM) and SO had a cumulative effect on depression and both had the largest effect at lag07 (RR = 1.021, 95%CI = 1.002-1.041; RR = 1.103, 95%CI = 1.032-1.178); SO also had a cumulative effect on anxiety disorders, with the largest effect at lag06 (RR = 1.058, 95%CI = 1.009-1.110). In the stratified analysis, people are more susceptible in the cold season compared to the warm season and females and the 18-60-year age group are more sensitive to air pollutants. It is suggested to strengthen management and preventive measures to decrease air pollution exposure.

CONCLUSION

This study found an association between increased concentrations of air pollutants and increased outpatient visits for mental and behavioral disorders. We recommend that preventive and protective measures should be strengthened in an effort to reduce exposure to air pollution in order to maintain physical and mental health.

摘要

背景

相关研究发现,空气污染是影响精神和行为障碍的一个重要因素。因此,我们开展了这项时间序列研究,以评估中国东北地区短期暴露于环境空气污染物与精神和行为障碍患者就医之间的关系。

方法

我们使用准泊松回归模型和广义相加模型来探究空气污染与精神和行为障碍之间的联系。还按季节、年龄和性别进行分层分析,以探讨可能的影响因素。

结果

我们发现,二氧化硫(SO)在滞后04至滞后07期对精神和行为障碍有累积效应,在滞后07期影响最大[相对危险度(RR)=1.068,95%置信区间(CI)=1.021-1.117]。粒径为2.5微米的颗粒物(PM)和SO对抑郁症有累积效应,二者均在滞后07期影响最大(RR=1.021,95%CI=1.002-1.041;RR=1.103,95%CI=1.032-1.178);SO对焦虑症也有累积效应,在滞后06期影响最大(RR=1.058,95%CI=1.009-1.110)。在分层分析中,与温暖季节相比,寒冷季节的人群更易受影响,女性以及18至60岁年龄组对空气污染物更敏感。建议加强管理和预防措施,以减少空气污染暴露。

结论

本研究发现空气污染物浓度升高与精神和行为障碍门诊就诊量增加之间存在关联。我们建议应加强预防和保护措施,努力减少空气污染暴露,以维护身心健康。

https://cdn.ncbi.nlm.nih.gov/pmc/blobs/f1b2/10910900/73d3b66908cc/fepid-03-1090313-g001.jpg

文献检索

告别复杂PubMed语法,用中文像聊天一样搜索,搜遍4000万医学文献。AI智能推荐,让科研检索更轻松。

立即免费搜索

文件翻译

保留排版,准确专业,支持PDF/Word/PPT等文件格式,支持 12+语言互译。

免费翻译文档

深度研究

AI帮你快速写综述,25分钟生成高质量综述,智能提取关键信息,辅助科研写作。

立即免费体验