Suppr超能文献

利用欧洲产豆类开发新型纳豆。

Development of novel natto using legumes produced in Europe.

作者信息

Rocchi Rebecca, Zwinkels Jasper, Kooijman Merit, Garre Alberto, Smid Eddy J

机构信息

Food Microbiology, Wageningen University and Research, Wageningen, the Netherlands.

Department of Agricultural Engineering & Institute of Plant Biotechnology, Universidad Politécnica de Cartagena, Spain.

出版信息

Heliyon. 2024 Feb 29;10(5):e26849. doi: 10.1016/j.heliyon.2024.e26849. eCollection 2024 Mar 15.

Abstract

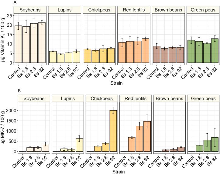
Natto is a traditional Japanese fermented product consisting of cooked soybeans fermented with var. natto. We assessed three different strains and investigated their impact on product quality aspects, such as microbial quality, textural quality (poly-γ-glutamate strand formation), free amino acids (FAA), and volatile organic compounds (VOCs), but also the vitamin K, K and B content, and presence of nattokinase. Using Bayesian contrast analysis, we conclude that the quality attributes were influenced by both the substrate and strain used, without significant differences in bacterial growth between strain or substrate. Overall, all the tested European legumes, except for brown beans, are adequate substrates to produce natto, with comparable or higher qualities compared to the traditional soy. Out of all the tested legumes, red lentils were the most optimal fermentation substrate. They were fermented most consistently, with high concentrations of vitamin K, VOCs, FAA.

摘要

纳豆是一种传统的日本发酵食品,由煮熟的大豆经纳豆芽孢杆菌发酵而成。我们评估了三种不同的菌株,并研究了它们对产品质量方面的影响,如微生物质量、质地质量(聚γ-谷氨酸链形成)、游离氨基酸(FAA)和挥发性有机化合物(VOCs),以及维生素K、K和B的含量和纳豆激酶的存在。通过贝叶斯对比分析,我们得出结论,质量属性受所用底物和菌株的影响,菌株或底物之间的细菌生长没有显著差异。总体而言,除了褐豆之外,所有测试的欧洲豆类都是生产纳豆的合适底物,与传统大豆相比质量相当或更高。在所有测试的豆类中,红小扁豆是最理想的发酵底物。它们发酵最稳定,含有高浓度的维生素K、VOCs和FAA。

https://cdn.ncbi.nlm.nih.gov/pmc/blobs/a453/10923668/7c9e776779ec/gr1.jpg

文献AI研究员

20分钟写一篇综述,助力文献阅读效率提升50倍。

立即体验

用中文搜PubMed

大模型驱动的PubMed中文搜索引擎

马上搜索

文档翻译

学术文献翻译模型,支持多种主流文档格式。

立即体验