Suppr超能文献

在儿童和青少年中使用两剂基础免疫方案的灭活严重急性呼吸综合征冠状病毒2疫苗(科兴新冠疫苗)的免疫原性和安全性(Immunita-002,巴西):IV期六个月随访

Immunogenicity and safety of inactivated SARS-CoV-2 vaccine (CoronaVac) using two-dose primary protocol in children and adolescents (Immunita-002, Brazil): A phase IV six-month follow up.

作者信息

Corsini Camila Amormino, Martins Priscila Fernanda da Silva, Filgueiras Priscilla Soares, Lourenço Adelina Júnia, Lima Ana Esther de Souza, Gomes Sarah Vieira Contin, Jeremias Wander de Jesus, Alves Pedro Augusto, Fernandes Gabriel da Rocha, Castro Luciana Lisboa Mota E, de Carvalho Andrea Teixeira, Azevedo Ana Carolina Campi, Curimbaba Caroline De Almeida Leitao, Lorencini Daniela Aparecida, Junior Eolo Morandi, da Silva Victor Mattos, Cervi Maria Célia, Borges Marcos de Carvalho, Nogueira Maurício Lacerda, Campos Guilherme Rodrigues Fernandes, Correa Paulo Roberto Lopes, Carvalho Taciana Malheiros Lima, Dos Reis Jordana Grazziela Alves Coelho, Reis Erik Vinícius de Sousa, Castilho Leda Dos Reis, de Lima Poliana Remundini, do Nascimento João Paulo Resende, de Oliveira Jaquelline Germano, Filho Olindo Assis Martins, Grenfell Rafaella Fortini Queiroz E

机构信息

Oswaldo Cruz Foundation (FIOCRUZ). 1715 Augusto de Lima Avenue, Belo Horizonte, Minas Gerais, Brazil. 30190-002.

Department of Pharmacy, Federal University of Ouro Preto (UFOP). 27, Nove, Bauxita, Ouro Preto, Brazil. 35400-000.

出版信息

Res Sq. 2024 Feb 29:rs.3.rs-3931021. doi: 10.21203/rs.3.rs-3931021/v1.

Abstract

INTRODUCTION

Vaccines are essential for the prevention and control of several diseases, indeed, monitoring the immune response generated by vaccines is crucial. The immune response generated by vaccination against SARS-CoV-2 in children and adolescents is not well defined regarding to the intensity and medium to long-term duration of a protective immune response, which may point out the need of booster doses and might support the decisions in public health.

OBJECTIVE

The study aims to evaluate the immunogenicity and safety of inactivated SARS-CoV-2 vaccine (CoronaVac) in a two-dose primary protocol in children and adolescent aging from 3 to 17 years old in Brazil.

METHODS

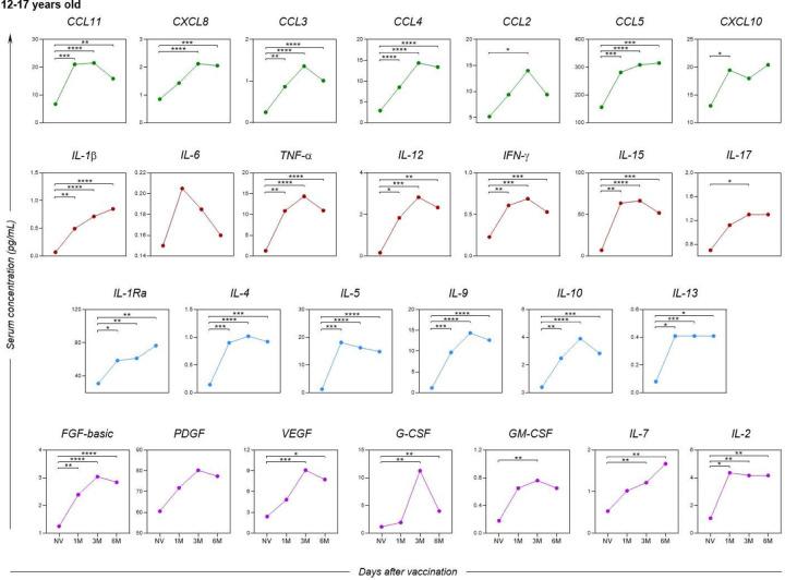
Participants were invited to participate in the research at two public healthcare centers located in Serrana (São Paulo) and Belo Horizonte (Minas Gerais), Brazil. Participants underwent medical interviews to gather their medical history, including COVID-19 history and medical records. Physical exams were conducted, including weight, blood pressure, temperature, and pulse rate measurements. Blood samples were obtained from the participants before vaccination, 1 month after the first dose, and 1, 3, and 6 months after the second dose and were followed by a virtual platform for monitoring post-vaccination reactions and symptoms of COVID-19. SARS-CoV-2 genome from Swab samples of COVID-19 positive individuals were sequenced by NGS. Total antibodies were measured by ELISA and neutralizing antibodies to B.1 lineage and Omicron variant (BA.1) quantified by PRNT and VNT. The cellular immune response was evaluated by flow cytometry by the quantification of systemic soluble immune mediators.

RESULTS

The follow-up of 640 participants showed that the CoronaVac vaccine (Sinovac/Butantan Institute) was able to significantly induce the production of total IgG antibodies to SARS-CoV-2 and the production of neutralizing antibodies to B.1 lineage and Omicron variant. In addition, a robust cellular immune response was observed with wide release of pro-inflammatory and regulatory mediators in the early post-immunization moments. Adverse events recorded so far have been mild and transient except for seven serious adverse events reported on VigiMed.

CONCLUSIONS

The results indicate a robust and sustained immune response induced by the CoronaVac vaccine in children and adolescents up to six months, providing evidences to support the safety and immunogenicity of this effective immunizer.

摘要

引言

疫苗对于多种疾病的预防和控制至关重要,事实上,监测疫苗产生的免疫反应至关重要。在儿童和青少年中,针对严重急性呼吸综合征冠状病毒2(SARS-CoV-2)疫苗接种所产生的免疫反应,在保护性免疫反应的强度以及中长期持续时间方面尚不明确,这可能表明需要加强剂量,并可能为公共卫生决策提供支持。

目的

本研究旨在评估灭活SARS-CoV-2疫苗(科兴新冠疫苗)在巴西3至17岁儿童和青少年中两剂次基础免疫方案的免疫原性和安全性。

方法

邀请参与者在巴西塞拉纳(圣保罗)和贝洛奥里藏特(米纳斯吉拉斯)的两个公共医疗中心参与研究。参与者接受医学访谈以收集其病史,包括新冠病毒病病史和病历。进行了体格检查,包括体重、血压、体温和脉搏率测量。在接种疫苗前、第一剂接种后1个月以及第二剂接种后1、3和6个月从参与者采集血样,并通过虚拟平台监测接种后反应和新冠病毒病症状。通过二代测序(NGS)对新冠病毒病阳性个体的拭子样本中的SARS-CoV-2基因组进行测序。通过酶联免疫吸附测定(ELISA)测量总抗体,并通过空斑减少中和试验(PRNT)和病毒中和试验(VNT)对B.1谱系和奥密克戎变种(BA.1)的中和抗体进行定量。通过流式细胞术通过定量全身可溶性免疫介质评估细胞免疫反应。

结果

对640名参与者的随访表明,科兴新冠疫苗(科兴/布坦坦研究所)能够显著诱导针对SARS-CoV-2的总IgG抗体产生以及针对B.1谱系和奥密克戎变种的中和抗体产生。此外,在免疫后早期观察到强烈的细胞免疫反应,促炎和调节介质大量释放。到目前为止记录的不良事件除了在VigiMed上报告的7起严重不良事件外均为轻度且短暂。

结论

结果表明科兴新冠疫苗在儿童和青少年中诱导了长达六个月的强烈且持续的免疫反应,为支持这种有效免疫制剂的安全性和免疫原性提供了证据。

https://cdn.ncbi.nlm.nih.gov/pmc/blobs/aba8/10925469/3a19e0d6fbb6/nihpp-rs3931021v1-f0001.jpg

文献AI研究员

20分钟写一篇综述,助力文献阅读效率提升50倍。

立即体验

用中文搜PubMed

大模型驱动的PubMed中文搜索引擎

马上搜索

文档翻译

学术文献翻译模型,支持多种主流文档格式。

立即体验