Suppr超能文献

牙科用纳米晶玻璃-卡波姆水门汀的力学性能

Mechanical Properties of Nano-Crystalline Glass-Carbomer Cements Used in Dentistry.

作者信息

Karolus Małgorzata, Barylski Adrian, Fryc Magdalena, Strzelec Damian

机构信息

Institute of Materials Engineering, Faculty of Science and Technology, University of Silesia in Katowice, 75 Pułku Piechoty 1A, 41-500 Chorzów, Poland.

出版信息

Materials (Basel). 2024 Mar 4;17(5):1186. doi: 10.3390/ma17051186.

Abstract

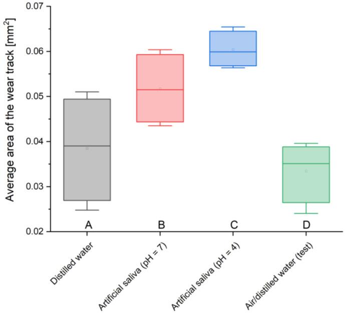
The main aim of this study was to assess the impact of the environment on the mechanical and tribological properties of glass-carbomer cements used in dentistry. The properties of the Glass Cements Polyalkene (GCP) Glass Fill material, belonging to glass-polyalkene cements, were tested after placing it in various environments: air, distilled water, artificial saliva simulating a neutral environment (pH = 7), and simulating inflammation (pH = 4). The research material included four samples and a two-year reference material. The analysis of volumetric consumption and the assessment of the impact of solubility on the stability of glass-carbomer cements were carried out using tribological measurements and Vickers hardness measurements. In addition, microstructural characterization of the materials was performed using scanning electron microscopy (SEM). It was observed that the lowest wear (0.04%), the most stable microstructure, and the lowest average hardness (21.52 HV 0.1) were exhibited by the material stored in artificial saliva simulating a neutral environment (pH = 7). The least stable microstructure and statistically the highest hardness (77.3 HV 0.1) was observed in the test sample, which was stored in air for two years and then in distilled water. The highest consumption (0.11%) was recorded in the case of cement placed in artificial saliva simulating inflammation (pH = 4). The results obtained in this study indicate specific trends in the influence of the environment in which the tested cement is located, such as air, distilled water, air/distilled water, artificial saliva simulating a neutral environment, and simulating inflammation, on its structure, hardness, and wear.

摘要

本研究的主要目的是评估环境对牙科用玻璃-卡波姆水门汀机械性能和摩擦学性能的影响。将属于玻璃-聚烯烃水门汀的玻璃水门汀聚烯烃(GCP)玻璃填充材料置于各种环境(空气、蒸馏水、模拟中性环境(pH = 7)的人工唾液以及模拟炎症环境(pH = 4))中后,对其性能进行了测试。研究材料包括四个样品和一种为期两年的参比材料。通过摩擦学测量和维氏硬度测量,对体积消耗进行了分析,并评估了溶解度对玻璃-卡波姆水门汀稳定性的影响。此外,使用扫描电子显微镜(SEM)对材料进行了微观结构表征。结果发现,存储在模拟中性环境(pH = 7)的人工唾液中的材料磨损最低(0.04%),微观结构最稳定,平均硬度最低(21.52 HV 0.1)。在测试样品中观察到微观结构最不稳定,且统计上硬度最高(77.3 HV 0.1),该样品先在空气中存放两年,然后置于蒸馏水中。置于模拟炎症环境(pH = 4)的人工唾液中的水门汀消耗最高(0.11%)。本研究获得的结果表明了测试水门汀所处的环境(如空气、蒸馏水、空气/蒸馏水、模拟中性环境的人工唾液以及模拟炎症环境)对其结构、硬度和磨损影响的特定趋势。

https://cdn.ncbi.nlm.nih.gov/pmc/blobs/adc8/10934128/4073d635a4b6/materials-17-01186-g001.jpg

文献AI研究员

20分钟写一篇综述,助力文献阅读效率提升50倍。

立即体验

用中文搜PubMed

大模型驱动的PubMed中文搜索引擎

马上搜索

文档翻译

学术文献翻译模型,支持多种主流文档格式。

立即体验